Présentation du polymère
Généralités
-
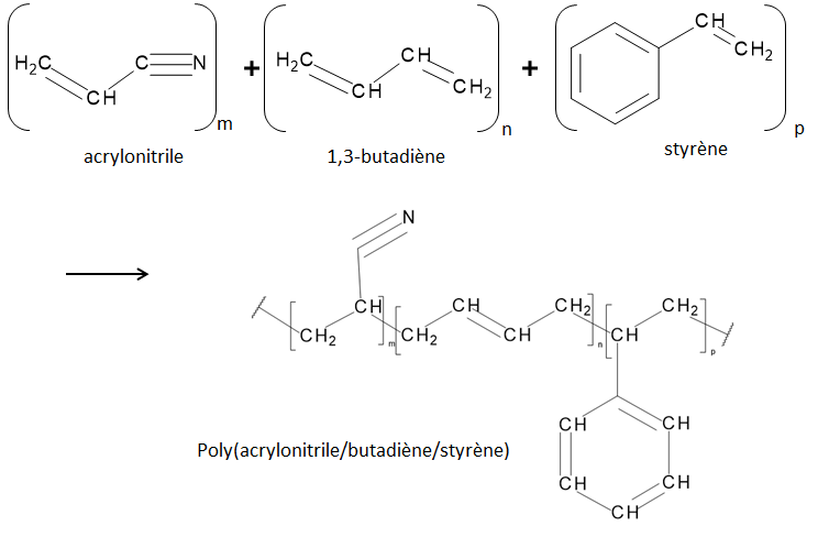
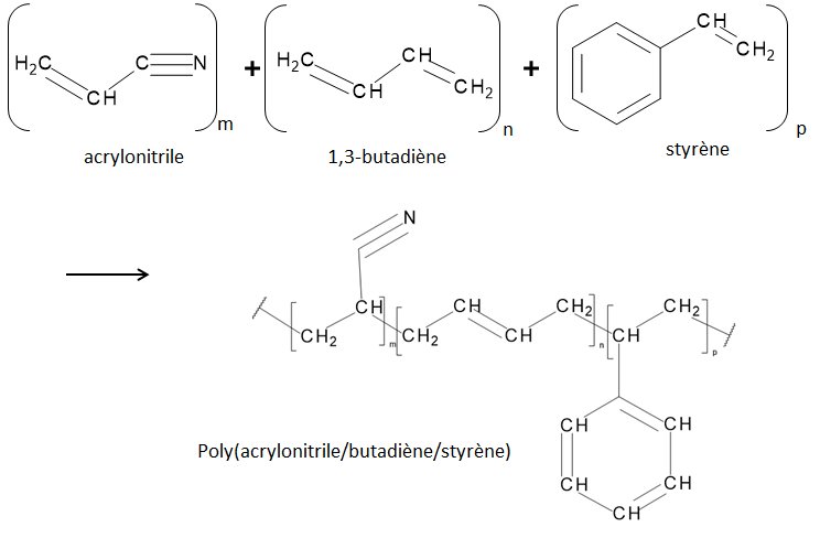
Nom du polymère
Poly(acrylonitrile/butadiène/styrène) -
Abréviation
ABS -
Synonymes
- Acrylonitrile butadiène Styrène copolymères
- Poly(acrylonitrile-co-butadiène-co-styrène)
-
Numéro CAS
9003-56-9 -
Famille
Styréniques
L'ABS peut ête obtenu selon deux méthodes :
- Le greffage en émulsion d'acrylonitrile et de styrène sur polybutadiène.
- La dispersion d'un élastomère nitrile-butadiène dans une matrice nitrile-styrène.
Synthèse
Formule développée
