Présentation du polymère [3]
Généralités
-
Nom du polymère
Poly(styrène/butadiène) -
Abréviation
SB -
Synonymes
- Copolymère butadiène styrène
- SBC
- SBR
-
Numéro CAS
9003-55-8 -
Famille
Polystyréniques
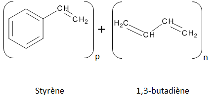
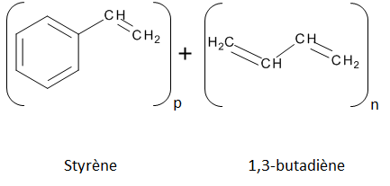
Le SB, poly(styrène/butadiène) ou SBR, est un copolymère du styrène et du 1,3-butadiène. Le SBR est obtenu en émulsion à froid, à chaud (50°C) ou en solution avec un catalyseur. Il a des propriétés d’élastomère proche du caoutchouc, résistant au gel, à l’abrasion et à la déchirure entre autres.
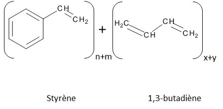
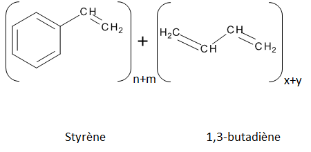
En associant le styrène et le 1-3 butadiène, on peut aussi obtenir le SBS poly(styrène/butadiène/styrène), copolymère triséquencé qui a des propriétés d'élastomère thermoplastique.
Plus la teneur en motifs butadiéniques du copolymère sera élevée, plus le caractère élastomère sera marqué, au détriment du caractère thermoplastique.
Synthèse
Formule développée N°1


Formule développée N°2


