Pathologie - Toxicologie
-
Toxicocinétique - Métabolisme [7-9]
Le 1,2-dichloroéthylène est bien absorbé par les voies inhalatoire et gastrointestinale, distribué dans tout l'organisme sans accumulation, métabolisé essentiellement dans le foie et excrété sous forme d'acide dichloroacétique ou de dichloroéthanol.
Chez l'animal
Absorption
Le 1,2-dichloroéthylène est bien absorbé par voie gastrointestinale et par voie respiratoire (35 - 50 % de la dose chez le rat et 75 % chez l'homme). L'équilibre corporel est atteint en 1,5 à 2 h après exposition par inhalation aux isomères cis ou trans. L'absorption pulmonaire chez le rat est un processus saturable et dépendant de la dose : en dessous de la saturation elle suit une cinétique d'ordre 1 (en fonction de la concentration), au delà du point de saturation (15 - 20 ppm) la cinétique est d'ordre 0 (taux d'absorption indépendant de la concentration). L'isomère cis a un taux d'absorption sous saturation plus important que l'isomère trans [10].
Distribution
Les 2 isomères du 1,2-dichloroéthylène sont des molécules volatiles et lipophiles qui circulent aisément dans les systèmes respiratoire et gastrointestinal. Ils ont une forte affinité pour les graisses et le sang, mais ne s'accumulent pas dans les tissus [7]. Le pic sanguin apparaît rapidement dès la fin de l'exposition par inhalation et 1 à 2 h après exposition orale [8].
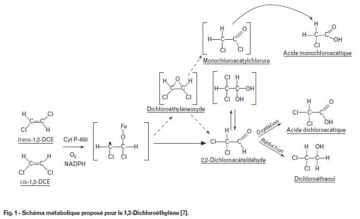
Métabolisme
Le métabolisme passe par le système oxydatif microsomial hépatique. Les études in vitro ont établi que des époxydes chlorés du 1,2-dichloroéthylène seraient formés par une interaction avec le cyt-P450 ; ils sont transformés en dichloroacétaldéhyde, soit par réarrangement spontané, soit par l'action d'une époxyde hydrolase.
La transformation secondaire du dichloroacétaldéhyde par les alcool et aldéhyde déshydrogénases hépatiques conduit essentiellement au dichloroéthanol et au dichloroacétate. La métabolisation du trans-1,2-dichloroéthylène produit principalement de l'acide dichloroacétique avec des quantités mineures de dichloroéthanol ; en revanche, le cis-1,2-dichloroéthylène engendre surtout du dichloroéthanol avec des quantités mineures d'acide dichloroacétique. Le métabolisme de la forme cis est plus rapide que celui de la forme trans ; la forme cis inhibe ou détruit les cytochromes P450, alors que la forme trans induit souvent ces enzymes [7, 9].
Schéma métabolique

Excrétion
Le 1,2-dichloroéthylène est éliminé par les poumons dans l'air expiré ; chez le rat, on a aussi détecté une élimination pulmonaire d'acétone, qui ne serait pas un métabolite du 1,2-dichloroéthylène, mais serait due à l'inhibition du cyt-P450.
Mode d'actions
Les 2 isomères du 1,2-dichloroéthylène inhibent, par fixation sur l'hème, les enzymes impliquées dans le métabolisme des xénobiotiques, en particulier les enzymes à cytochromes P450 et peuvent, de ce fait, influer sur la toxicité d'autres substances. Cet effet est plus important chez le rat mâle que chez la femelle [5]. La différence de toxicité entre les 2 isomères serait liée à la différence de stabilité des 2 époxydes formés (trans > cis).
Toxicité expérimentaleToxicité aiguë [7, 9, 12]
Le 1,2-dichloroéthylène est faiblement toxique pour l'animal, après exposition aiguë ; il agit principalement sur le système nerveux central, le foie et les poumons.
Le trans-1,2-dichloroéthylène présente une faible toxicité aiguë ; la CL50 est de 21 723 ppm/6h pour la souris et 24 100 ppm/4h pour le rat ; la DL50 par voie orale est de 7902 - 9939 mg/kg chez le rat et de 2200 - 2400 mg/kg chez la souris. Les valeurs de DL50 orale de l'isomère cis n'ont pas été définies, la CL50 chez le rat est de 13 700 ppm/4h [18].
Les animaux, exposés par inhalation au trans-1,2-dichloroéthylène, meurent d'une dépression des systèmes nerveux central et respiratoire ; à plus faibles concentrations, on observe des effets neurologiques (ataxie, narcose, léthargie, modification de comportement), cardiaques (3000 ppm/8h, myocardite fibreuse), sériques (1000 ppm/8h, baisse de la concentration en albumine et urée et de l'activité phosphatase alcaline), hépatiques (200ppm/8h, dégénérescence graisseuse des hépatocytes et des cellules de Kupffer) et pulmonaires (200 ppm/8h, hyperémie et distension du septum alvéolaire). Les animaux exposés par voie orale présentent, à des doses proches de celles entraînant une létalité (1000 mg/kg/j), des effets neurologiques, pulmonaires et hépatiques, identiques à ceux observés après exposition par inhalation, accompagnés de modifications sanguines (baisse du taux de fibrinogène, de l'hématocrite et du nombre d'érythrocytes) et d'une hyperémie de l'estomac et de l'intestin grêle (chez la souris) [2].
L'isomère cis-1,2-dichloroéthylène provoque, chez le rat (200, 600, 1000, 3000 ppm/ 8h), une augmentation, fonction de la dose et plus élevée que celle induite par l'isomère trans, du temps de sommeil induit par l'hexobarbital et du temps de paralysie induite par la zoxazolamine, et modifie les mêmes paramètres sanguins que l'isomère trans.
Par voie cutanée, les données limitées existantes indiquent des effets cutanés et oculaires réversibles, légers à modérés, de l'isomère trans-1,2-dichloroéthylène.
Toxicité subchronique, chronique [7-9]
Le 1,2-dichloroéthylène est peu toxique chez l'animal, en administration répétée ; il modifie légèrement les paramètres hépatiques et hématologiques.
Des animaux (rats, lapins, cobayes et chiens) exposés au 1,2-dichloroéthylène commercial en mélange isomérique (500 ou 1000ppm, 7h/j, 5j/sem, pendant 6 mois), ne présentent aucune modification de croissance, de mortalité, de poids corporel ou des organes, des paramètres hématologiques ou biochimiques ni de pathologie macro- ou microscopique [2].
Des rats exposés au trans-1,2-dichloroéthylène (200 ppm 8h/j, 5j/sem, 8 ou 16 sem) présentent une dégénérescence graisseuse des hépatocytes et des cellules de Kupffer, ainsi qu'une hyperémie pulmonaire.
Une exposition dans l'eau de boisson (rat 500 à 3000 mg/kg/j et souris 16,8 à 450 mg/kg/j, pendant 90j) ou dans la nourriture (microcapsules, rat 190 à 3200 mg/kg/j, et souris 480 à 8000 mg/kg/j pendant 14 semaines) induit, aux fortes doses, une baisse de poids corporel mais pas de létalité, une modification des paramètres sanguins chez le rat, une augmentation de poids du foie (rat femelle et souris mâle) et une baisse du poids des reins (rat) ainsi que du poids absolu et relatif des poumons et du thymus (souris femelles) [9, 13].
L'isomère cis-1,2-dichloroéthylène, administré par gavage chez le rat (32 mg/kg/j pendant 90j) diminue le taux d'hémoglobine et l'hématocrite.
Effets génotoxiques
L'isomère cis-1,2-dichloroéthylène est génotoxique in vivo et équivoque in vitro, l'isomère trans-1,2-dichloroéthylène n'est pas génotoxique.
In vitro, aucun des 2 isomères du 1,2-dichloroéthylène n'est mutagène pour S. typhimurium TA97, TA98, TA100, TA1535 ou TA1537, avec ou sans activation métabolique. Dans les cellules CHO (d'origine ovarienne) de hamster chinois, le 1,2-dichloroéthylène en mélange isomérique provoque une augmentation du taux d'échanges entre chromatides sœurs, avec ou sans activation métabolique ; dans ce test, l'isomère trans seul donne des résultats négatifs avec ou sans activation métabolique, et l'isomère cis seul donne des résultats positifs sans métabolisation et équivoques avec activation métabolique [13] ; en revanche, dans les cellules CHL (d'origine pulmonaire) de hamster chinois, les deux isomères donnent des résultats négatifs [14]. Dans ces mêmes cellules, aucune des substances n'induit d'aberration chromosomique, avec ou sans activation métabolique. Dans les lymphocytes humains en culture, le 1,2-dichloroéthylène augmente faiblement le taux de micronoyaux et le nombre de cassures de l'ADN (test des comètes) [15].
In vivo, l'isomère cis est génotoxique (mutagène dans le test sur S. typhimurium ou S. cerevisiae D7 par l'intermédiaire de l'hôte souris et inducteur d'aberrations chromosomiques dans la moelle osseuse de souris après injections ip répétées) ; l'isomère trans ne l'est pas (pas d'induction d'échanges entre chromatides sœurs ou d'aberrations chromosomiques dans les cellules de la moelle osseuse de souris mâle, pas de formation de micronoyaux dans le sang périphérique chez la souris après exposition dans la nourriture pendant 14 semaines [13] ou par injection ip [16]).
Effets sur la reproduction
Chez le rat, à des doses toxiques pour les mères, le trans-1,2-dichloroéthylène diminue le poids fœtal
Le trans-1,2-dichloroéthylène induit une toxicité maternelle, après inhalation par la rate gestante (2000 - 6000 - 12 000 ppm, 6h/j, du 7ième au 16ième jour de gestation) : baisse de la prise de poids (12 000 ppm) et de nourriture (6000 - 12 000 ppm), larmoiements et irritation oculaire (toutes les doses), augmentation de l'alopécie, de la léthargie et de la salivation (12 000 ppm). Une augmentation significative du nombre de résorptions a été relevée, mais sans sortir des limites historiques du laboratoire, ainsi qu'une baisse du poids fœtal (12 000 ppm) qui pourrait être liée à une baisse de la prise de nourriture par les mères. Le NOAEL fœtal est de 6000 ppm [17].
Toxicité sur l’Homme [4]Aucune étude documentée d’intoxication aiguë ou chronique n’est disponible chez l’Homme à la date de publication de cette fiche toxicologique. L’utilisation ancienne comme anesthésique laisse penser que des troubles de la conscience sont possibles.
Toxicité aiguë
Nous n'avons pas retrouvé d'études documentées d'intoxications aiguës. Son utilisation ancienne comme anesthésique permet de prévoir des troubles de la conscience en cas d'exposition.
La littérature rapporte également que le produit est irritant chez l'homme au niveau des yeux, des voies respiratoires, mais sans qu'il soit clairement défini s'il s'agit d'informations issues d'observations cliniques réelles ou d'extrapolation à partir d'études animales.
Toxicité chronique
La littérature ne rapporte pas de cas d'intoxications humaines
Cohérence des réponses biologiques chez l'Homme et l'animal