Pathologie - Toxicologie
-
Toxicocinétique - Métabolisme [14, 15]
L’oxyde d’éthylène est absorbé par inhalation et ingestion, largement distribué dans l’organisme, transformé par hydrolyse ou conjugaison et éliminé principalement dans l’urine. Il forme des adduits avec les macromolécules comme l’hémoglobine ou l’ADN, dont la mesure peut servir d’indicateur biologique d’exposition.
Chez l'animal
Absorption
L'oxyde d'éthylène est rapidement et complètement absorbé par le tractus respiratoire du rat, de la souris et du lapin : le taux d’absorption est proche de 100 % chez la souris, après une exposition pendant 2 heures de 1 à 35 ppm [16].
Même si aucune donnée n’est disponible pour la voie orale, les effets observés lors des études de toxicité aiguë et répétée confirment son absorption par le tractus gastro-intestinal des rongeurs.
Distribution
Suite à une exposition par inhalation, l’oxyde d’éthylène est rapidement distribué dans les tissus des animaux : les concentrations les plus importantes sont retrouvées dans le foie, les reins et les poumons chez la souris [16], et dans la vessie, le foie, les globules rouges et glandes surrénales chez le rat [17].
L'oxyde d'éthylène se fixe aux macromolécules. Des adduits à l’ADN ont notamment été détectés dans le foie, la rate et les testicules de souris [16] ; la demi-vie des adduits de l’ADN (N-(2-hydroxyéthyl)guanine) chez le rat est de 24 heures dans la rate, 10 heures dans les testicules et 12 heures dans le foie.
Métabolisme
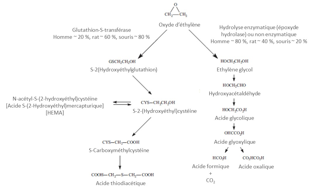
L'oxyde d'éthylène peut être détoxifié soit :
- par une hydrolyse enzymatique (par l'époxyde hydrolase) ou non enzymatique en éthylène glycol, transformé ensuite en acide oxalique, acide formique et CO2,
- par une conjugaison avec le glutathion, aboutissant notamment à la formation de dérivés mercapturiques et d’acide thiodiacétique (voir fig. 1).
La voie majeure de métabolisation dépend de l'espèce : la voie du glutathion est majoritaire chez la souris et le rat, et la voie de l'époxyde hydrolase majoritaire chez le lapin et le chien.
Schéma métabolique

Figure 1. Schéma métabolique de l’oxyde d’éthylène [14]
Excrétion
Chez la souris, une demi-vie d’élimination de 2-3 minutes a été déterminée après l’inhalation de 100 ppm pendant 4 heures ; dans les mêmes conditions expérimentales, la demi-vie chez le rat est comprise entre 10 et 13 minutes [18].
L’oxyde d’éthylène et ses métabolites sont rapidement excrétés dans les urines. Chez la souris, 48 heures après l’inhalation de 100 ppm pendant 4 heures, 60 à 100 % de la radioactivité inhalée est retrouvée dans les urines.
Les principaux métabolites sont l’acide 2-hydroxyéthylmercapturique (8,5 %), la S-2-hydroxyéthyl-L-cystéine (5,8 %), la S-carboxyméthyl-L-cystéine (1,9 %) et l’éthylène glycol (3,3 %) [19].
Il en est de même chez le rat : 18 heures après une exposition à 100 ppm d’oxyde d’éthylène radiomarqué (pendant 6 heures), 60 % de la radioactivité est retrouvée dans les urines, 4,5 % dans les fèces, 12 % sous forme de CO2 et 1 % sous forme inchangée dans l’air expiré [17]. Les métabolites retrouvés sont l’acide 2-hydroxyéthylmercapturique (31 %) et l’éthylène glycol (6 %) [19, 20].
Chez l'Homme
L’oxyde d’éthylène est produit de manière endogène dans l’organisme.
Chez l'Homme, l’oxyde d’éthylène est rapidement absorbé par les poumons, avec une rétention alvéolaire moyenne de 75-80 % de la concentration inhalée (travailleurs exposés de 0,2 à 24,1 mg/m3 d’oxyde d’éthylène) [21].
L’absorption cutanée est confirmée par la survenue d’effets lors d’expositions cutanées à de l’oxyde d’éthylène, sous forme gazeuse ou liquide : les premiers signes d’intoxication observés chez les volontaires sont des vomissements, des diarrhées, des nausées et des maux de tête. Par ailleurs, un flux percutané de 0,125 mg/cm2-h a été déterminé in vitro (application d’une solution à 1 % sur de la peau humaine excisée) [22].
La distribution de l’oxyde d’éthylène n’a pas été étudiée chez l’Homme.
Comme chez l’animal, l'oxyde d'éthylène est métabolisé soit par hydrolyse (voie majoritaire) soit par conjugaison avec le glutathion. Il existe un polymorphisme des enzymes impliquées dans la conjugaison avec le glutathion (glutathion-S- transférase T1) et l'hydrolyse chez l'Homme entrainant une variabilité d'activité selon les individus [23] : ces variations de métabolisme sont probablement à l’origine des différences individuelles de sensibilité à la génotoxicité observée.
L’oxyde d’éthylène est un agent alkylant direct. Il se fixe aux macromolécules. Des adduits à l’ADN et aux protéines ont été mesurés. Les adduits à l'hémoglobine, mis en évidence chez l'Homme, représenteraient une mesure de la charge corporelle et indirectement de l'exposition.
Une demi-vie d’élimination de 42 minutes a été calculée [24]. Aucune accumulation d'oxyde d'éthylène chez l'Homme au cours d'une semaine de travail n'est donc à attendre [15].
Suite à une exposition par inhalation, l’oxyde d’éthylène est majoritairement métabolisé (75-80 % dans la dose initiale) et éliminé dans les urines, 20 à 25 % étant éliminés dans l’air exhalé sous forme inchangée.
Surveillance Biologique de l'exposition [25, 26]
Deux indicateurs biologiques d’exposition ont été proposés pour la surveillance biologique des expositions à l’oxyde d’éthylène : les adduits à l’hémoglobine N-(2-hydroxyéthyl)valine ou HEV dans le sang et l’acide S-(2-hydroxyéthyl)mercapturique ou HEMA dans les urines.
Pour le dosage de la N-(2-hydroxyéthyl)valine dans le sang, le prélèvement doit être réalisé après une exposition d’au moins 3 à 4 mois (durée de vie des érythrocytes d’environ 120 jours) (moment de prélèvement indifférent). Des valeurs biologiques d’interprétation professionnelles, basées sur la corrélation avec l’exposition externe sont établies par l’ACGIH et la Commission allemande DFG : BEI de l’ACGIH de 5000 pmol HEV/g de globine correspondant à une exposition à la TLV-TWA de 1 ppm, valeurs EKA de la DFG de 45 et 90 µg/L de sang pour une exposition à 0,5 et 1 ppm respectivement. Cet indicateur est non spécifique, il peut être formé lors du métabolisme d’autres substances (éthylène, 2-chloroéthanol, 2-hydroxyéthyl diazonium). Une valeur BAR de 60 pmol HEV/g de globine pour les non-fumeurs, correspondant au 95e percentile des concentrations observées dans la population générale, est également proposée par la DFG. Chez les fumeurs, des concentrations 5 à 10 fois supérieures peuvent être observées.
Le dosage de l’acide S-(2-hydroxyéthyl)mercapturique dans les urines en fin de poste ou fin d’exposition est préconisé. Sa demi-vie d’élimination est courte (< 5 heures) et il reflète l’exposition de la journée de travail. La même valeur biologique d’interprétation issue de la population générale de 5 µg HEMA/g de créatinine, correspondant au 95e percentile des concentrations observées dans la population générale, chez les non-fumeurs, est proposée par les deux organismes cités ci-dessus. Cet indicateur est également non spécifique (métabolite commun du chlorure de vinyle, 1,2-dibromoéthane, acrylonitrile). Des valeurs plus élevées (95e percentiles jusqu’à 27 µg/g de créatinine) sont rapportées chez les fumeurs [26].
Toxicité expérimentaleToxicité aiguë [17, 20]
L’oxyde d’éthylène est toxique par inhalation pour les systèmes respiratoire et nerveux et irritant pour le tractus respiratoire, la peau et les yeux.
Les premiers signes d'intoxication par inhalation sont ceux d'une irritation respiratoire et oculaire, ensuite des atteintes pulmonaires dont la sévérité augmente avec la concentration, provoquant une létalité retardée. Les concentrations les plus fortes (1600 ppm pendant 4 heures) entrainent incoordination et endormissement. À l'autopsie, les animaux présentent des lésions pulmonaires (œdème, congestion, hémorragie, emphysème), hépatiques (dégénérescence graisseuse, décoloration) et rénales (légère congestion et gonflement des tubes) (rat et cobaye, 841 ppm 2 ou 3 expositions de 7 heures) [27].
Chez le rat, les principaux symptômes observés sont un larmoiement, un écoulement nasal, des diarrhées et des difficultés à respirer ; chez les chiens, des vomissements, des spasmes et une dyspnée sont aussi rapportés [15].
Voie
Espèce
DL50/CL50
Inhalatoire
Rat mâle-femelle
1972 - 1537 ppm/4 h
Souris femelle
835 ppm/4 h
Chien mâle
960 ppm/4 h
Orale
Rat mâle
330 mg/kg
Souris mâle-femelle
365 - 280 mg/kg
Cobaye
270 mg/kg
Tableau I. DL50/CL50 de l'oxyde d'éthylène.
Irritation, sensibilisation [20]
Des solutions aqueuses en contact avec la peau du lapin (pansement occlusif, 10 ou 50 % pendant 1 à 60 minutes) provoquent érythème, hyperhémie, œdème et escarres ; l'évaporation de grandes quantités sur la peau peut induire des gelures [27]. L’application d’oxyde d’éthylène non dilué (lapin, 4 heures sous pansement occlusif) induit un érythème et un œdème sévères, des hémorragies sous-cutanées et des brulures chimiques pendant les 3 jours suivant l’application [20].
Les vapeurs d'oxyde d'éthylène, à fortes concentrations, sont irritantes pour l'œil ; les solutions à 1 % instillées dans l'œil de lapin engendrent une opacification cornéenne (instillation toutes les 10 min pendant 6 heures). La concentration non irritante pour l'œil du lapin est de 0,1 % en solution saline.
L'oxyde d'éthylène n'est pas un sensibilisant cutané pour le cobaye (1 %, 3 fois/sem., pendant 3 semaines).
Toxicité subchronique, chronique [20]
Des expositions répétées à l’oxyde d’éthylène par inhalation induisent des lésions de nombreux organes ou systèmes, les principales cibles étant les voies respiratoires, le système hématopoïétique et le système nerveux.
Des expositions subchroniques par inhalation ont été réalisées chez le rat, la souris, le singe et le chien. Les effets suivants ont été rapportés au niveau :
- des voies respiratoires : rhinite (souris mâle et femelle, 200 ppm, 6 h/j, 5 j/sem, 14 sem, [28]), respiration difficile et écoulement nasal (rat mâle, 406 ppm, 6 h/j, 5 j/sem, 6 sem, [29]), augmentation du poids des poumons (rat mâle et femelle, 113 et 204 ppm, 157 expositions de 7 heures, réparties sur 32 semaines, [27]), congestion pulmonaire et collapsus (chien mâle, 292 ppm, 6 h/j, 5 j/sem, 6 semaines [29]),
- du sang et de la rate : anémie normochromatique (chien mâle, 102 ppm, 6 h/j, 5 j/sem, 6 mois, [29]), hématopoïèse splénique et fibrose de la rate (rat mâle, 50 et 100 ppm, 7 h/j, 5 j/sem, 2 ans [30]), diminution des taux d’hémoglobine, d’hématocrite, d’érythrocytes et augmentation des réticulocytes (rats et chiens mâles, souris mâles et femelles, 250 à 500 ppm, 6 h/j, 3 ou 5 j/sem, pendant 6 à 13 semaines [29, 31, 32]),
- des muscles : atrophie des membres inférieurs chez le singe (204 ppm, 157 expositions de 7 heures, réparties sur 32 semaines, [27]) et myopathie multifocale des muscles squelettiques (rat mâle, 100 ppm, 7 h/j, 5 j/sem, 2 ans [30]),
- du rein : dégénérescence tubulaire (souris mâle et femelle, 100-200 ppm, 6 h/j, 5 j/sem, 14 semaines [28]),
- des glandes surrénales : vacuolisation corticale et hyperplasie (rat mâle, 100 ppm, 7 h/j, 5 j/sem, 2 ans [30]).
L’oxyde d’éthylène est aussi à l’origine du développement de neuropathies sensitivo-motrices des membres inférieurs se traduisant par :
- des atteintes de la démarche et des fonctions sensorielles et motrices, des tremblements légers, différents degrés de paralysie de ces membres (singe et lapin, 204 ppm, 157 expositions de 7 h, réparties sur 226 jours [27]),
- un retard dans la maturation et la croissance des fibres myélinisées des nerfs des membres inférieurs et une dégénérescence modérée des axones, sans signe clinique associé (rat mâle, 250 ppm, 6 h/j, 3 j/sem, 9 mois [33]),
- une baisse de l’activité motrice à partir de 50 ppm (NOAEL = 10 ppm, souris, 6 h/j, 5 j/sem, 10-11 semaines [32]).
Une exposition chronique par inhalation (50 et 100 ppm, 6 h/j, 5 j/sem., 25 mois) a entrainé l’apparition de cataracte chez quelques animaux, avec des incidences de 2/11 et 3/12 pour les singes (témoin : 0/11) et de 3/79 et 9/78 pour les rats (témoin : 2/77) [30].
Par voie orale, des expositions subchroniques (rat femelle, 100 mg/kg, 5 j/sem., 15 fois en 21 jours) ont provoqué une perte de poids, une irritation gastrique et une altération hépatique modérée (non détaillée) (NOAEL = 30 mg/kg pc/j) [27].
Effets génotoxiques [14, 20]
Que ce soit in vitro ou in vivo, l’oxyde d’éthylène est génotoxique : il induit des lésions au niveau de l’ADN (mutagénicité) et des chromosomes (clastogénicité).
In vitro
L'oxyde d'éthylène est un agent alkylant très réactif qui peut réagir avec les protéines et les acides nucléiques sans activation métabolique. Il est génotoxique dans la plupart des tests pratiqués in vitro, induisant :
- des lésions de l’ADN (adduits et cassures simple-brin),
- des mutations géniques chez les bactéries, les levures, les champignons et les cellules de mammifère,
- des transformations, des micronoyaux, des aberrations chromosomiques et des échanges entre chromatides sœurs, des cassures double-brin dans les cellules de mammifère et les lymphocytes humains en culture.
In vivo
Il est génotoxique pour les cellules somatiques et germinales ; il augmente le taux :
- de mutation dans les lymphocytes de rat et de souris et dans les cellules germinales de souris,
- des aberrations chromosomiques et des échanges entre chromatides sœurs dans les lymphocytes et les cellules de la moelle osseuse du rat, de la souris, du lapin et du singe,
- des micronoyaux dans les érythrocytes périphériques du rat et de la souris,
- de létalité dominante chez la souris et le rat,
- d’adduits à l’ADN dans de nombreux organes du rat et de la souris et dans les cellules germinales de souris,
- des cassures simple-brin et des translocations dans les cellules germinales de la souris.
Effets cancérogènes [14, 20]
L’oxyde d’éthylène est cancérogène par voie orale chez le rat et inhalatoire chez le rat et la souris.
Le pouvoir cancérogène de l'oxyde d'éthylène a été testé chez le rat et la souris par différentes voies d'exposition :
- par voie orale chez le rat femelle (7,5 ou 30 mg/kg pc/j, gavage 2 fois/sem., 150 semaines), il provoque une augmentation des carcinomes à cellules squameuses du pré-estomac accompagnée de papillomes, d'hyperplasie ou d'hyperkératose de l'épithélium squameux. Quelques animaux présentent des métastases [34],
- par inhalation chez la souris (0 - 50 - 100 ppm 6 h/j, 5j/sem., pendant 102 semaines), il engendre une augmentation des carcinomes alvéolaires/bronchiolaires chez les mâles et une augmentation des adénomes et des carcinomes alvéolaires/bronchiolaires chez les femelles (100 ppm) ainsi que des adénocystomes papillaires dans la glande de Harder chez les animaux des 2 sexes (dès 50 ppm). Chez les femelles, il augmente le taux de carcinomes mammaires (seulement à 50 ppm), d'adénocarcinomes de l'utérus et de lymphomes malins (à 100 ppm) [28]. Chez le rat (0 - 10 - 33 - 100 ppm, 6 h/j, 5 j/sem. pendant 2 ans), il occasionne des leucémies monocytiques (dès 33 ppm) et des tumeurs cérébrales dans les 2 sexes, des mésothéliomes péritonéaux dans la région testiculaire et des fibrosarcomes sous-cutanés chez les mâles à 100 ppm [35, 36],
- par voie sous-cutanée chez la souris (0 - 0,1 - 0,3 - 1 mg/ animal, 1 fois/sem. pendant 95 semaines), il produit des sarcomes au site d'injection,
- aucune tumeur n'est observée après application sur la peau de la souris (100 mg d'une solution à 10 % dans l'acétone 3 fois/sem. pendant toute la durée de vie) [37].
L’oxyde d’éthylène est reconnu comme cancérogène pour l’Homme par le CIRC (groupe 1) ; il existe des preuves solides montrant que la cancérogénicité de l'oxyde d'éthylène, agent alkylant à action directe, opère par un mécanisme génotoxique [14].
Effets sur la reproduction [17, 20]
L’oxyde d’éthylène est embryo- et fœtotoxique et toxique pour la fertilité du mâle. Les effets observés varient en fonction de la période d’exposition des mères.
Fertilité
Dégénérescence des tubes séminifères et des cellules germinales, baisse de poids de l'épididyme et des testicules, diminution du nombre de spermatozoïdes et augmentation du pourcentage de sperme anormal ont été observées chez le rat (250 et 500 ppm, 6 h/j, 3 ou 5 j/sem, jusqu’à 13 semaines) [38, 39]. Une baisse du nombre et de la mobilité des spermatozoïdes a été rapportée chez le singe exposé à 50 ppm pendant 24 mois (7 h/j, 5 j/sem) [30].
Développement
Des effets embryo- et fœtotoxiques ont été mis en évidence par inhalation chez le rat.
Dans une étude 2 générations, des rates ont été exposées à 10-33 ou 100 ppm (6 h/j, 5 j/sem) : les effets ont tous été observés dès 33 ppm. Chez les mères F0, une augmentation des pertes post-implantatoires a été rapportée ; concernant les générations F1 et F2, une diminution du poids fœtal a été notée, de même qu’une baisse du nombre de nouveau-nés vivants par portée (uniquement à 100 ppm) [20]. Suite à une exposition de 5 semaines à 150 ppm (3 semaines avant l’accouplement puis de GD1 à GD16, 7 h/j), une augmentation de l’incidence des résorptions a été observée ainsi qu’une diminution du nombre de fœtus par portée. Les fœtus présentaient une diminution de leur poids et de la distance vertex-coccyx, ainsi qu’un retard d’ossification [20]. Suite à une exposition à 1200 ppm du 6e au 15e jour de gestation (0-400-800-1200 ppm, 1 fois / jour, pendant 30 minutes), les dilatations de l’uretère et du pelvis rénal ont vu leur incidence augmenter chez les fœtus. Toutefois, ces effets n’ayant pas été observés suite à des expositions similaires répétées (3 fois / jour à 800 et 1200 ppm), leur signification est probablement limitée. La diminution du poids des fœtus a été observée suite à ces expositions brèves répétées, en absence de toxicité maternelle manifeste (seulement diminution du poids à 1200 ppm) [40].
Le moment de l'exposition joue un rôle dans la toxicité fœtale : une exposition (1200 ppm pendant 1,5 heure) 1 ou 6 heures après un accouplement de 30 minutes induit une fœtolétalité en milieu et en fin de gestation et des malformations congénitales alors qu'une exposition 9 ou 25 heures après l'accouplement n'induit que peu de fœtotoxicité et pas de malformation [41, 42]. Les malformations observées comprenaient des hernies ombilicales, des malformations oculaires et cardiaques, des thorax ouverts, des fentes palatines ou des atteintes au niveau de la queue et des pattes. Lorsque l’exposition est réalisée avant l’accouplement, le nombre de résorptions est augmenté, probablement en raison des mutations létales dominantes survenues dans les oocytes.
Des injections intra veineuses à des doses sublétales pour les mères (150 mg/kg/j du 6e au 8e jour de gestation) augmentent le taux d'anomalies cranio-faciales et de vertèbres soudées ; aucun effet n’est rapporté à 75 mg/kg/j [43].
Effets pertubateurs endocriniens
L’oxyde d’éthylène est inscrit sur des listes répertoriant les perturbateurs endocriniens potentiels (Cf. Fiche toxicologique n° 0 pour plus de détails).
A la date de rédaction de cette fiche toxicologique, il est retrouvé dans la base de données DEDuCT (liste 3) [44] ainsi que dans la liste établie et publiée par l’Anses en 2021 (groupe II : perturbateur endocrinien présumé) [45].
Toxicité sur l’HommeL’inhalation de fortes concentrations d’oxyde d’éthylène provoque une irritation oculaire et respiratoire ainsi qu’une neurotoxicité avec troubles digestifs. Le contact avec l'oxyde d'éthylène liquide ou ses solutions aqueuses induit une irritation cutanée fonction de la concentration et de la durée de contact.
L’exposition prolongée à des concentrations élevées d’oxyde d’éthylène induit une neurotoxicité. Des cas de cataracte ont été attribués à l’exposition à l’oxyde d’éthylène lors d'opérations de stérilisation.
L’oxyde d’éthylène est génotoxique et cancérogène. Des excès de risques de cancers lymphopoïétiques, hématopoïétiques et dans une moindre mesure, de cancer du sein ont été rapportés dans des cohortes de travailleurs exposés.
Une augmentation des fausses couches, avortements spontanés, prématurité ou à l’inverse un allongement de la durée de grossesse a été décrite chez des femmes exposées professionnellement à l'oxyde d'éthylène.
Toxicité aiguë
L'inhalation brève de fortes concentrations (plusieurs centaines de ppm) provoque des phénomènes d'irritation des yeux et des voies respiratoires (dyspnée, cyanose,… jusqu’à l’œdème pulmonaire et le syndrome de détresse respiratoire aiguë), des troubles digestifs (nausée, vomissement, diarrhée) et neurologiques (céphalée, somnolence, faiblesse musculaire, incoordination voire convulsion) [15, 46]. Un cas de syndrome de vasoconstriction cérébrale réversible, ayant conduit à un infarctus cérébral, a récemment été décrit à la suite d’un accident d’exposition à un gaz de stérilisation (composé à 75 % d’oxyde d’éthylène et à 25 % de dioxyde de carbone) chez une femme de 58 ans travaillant dans une usine de fabrication de gélules [47].
L'oxyde d'éthylène liquide et ses solutions aqueuses provoquent une irritation de la peau et des yeux dont l'intensité dépend de la concentration mais également de la durée du contact influençée notamment par l'évaporation de la substance [20]. Les lésions à type de brûlures peuvent survenir de manière retardée [48]. Des signes d’irritation cutanée (vésicules, érythème,…) ont également été observés après contact avec des matériaux ou vêtements stérilisés à l'oxyde d'éthylène [17, 48]
Toxicité chronique
Des dermites irritatives de contact ou aéroportées ont été décrites suite à la manipulation sans protection de solution ou d’objet stérilisés avec de l’oxyde d’éthylène [48].
Pour des expositions prolongées à des concentrations supérieures à la valeur limite, des cas de neuropathies sensitivo-motrices ont été décrits, le plus souvent aux membres inférieurs. Une atteinte neurogène a été retrouvée à l'électromyogramme. Ces neuropathies sont généralement réversibles. Dans certains cas, une atteinte neurologique centrale peut être objectivée, notamment par des anomalies cognitives aux tests psychométriques ; il s'agit d'études sur un nombre restreint de sujets exposés en milieu hospitalier à des concentrations souvent élevées (> 10 ppm) [20,49].
Plusieurs cas d'opacification du cristallin voire de cataracte ont été signalés chez des travailleurs exposés à des concentrations d'oxyde d'éthylène nettement supérieures à la valeur limite lors d'opérations de stérilisation [20, 48, 50, 51].
Quelques études décrivent des perturbations de l’hémogramme (hématocrite, hémoglobine, neutrophiles, lymphocytes, plaquettes,…) chez des personnes exposées à l’oxyde d’éthylène en milieu hospitalier, mais les résultats sont parfois contradictoires et leur interprétation est délicate [17, 52].
Sensibilisation
Des cas d’asthme attribués à l’exposition professionnelle à l’oxyde d’éthylène ont été décrits en milieu de soin. L'exposition à des gaz/vapeurs irritants comme l'oxyde d'éthylène peut entraîner un asthme induit par des irritants. Dans certains cas, la présence d’IgE spécifiques a été rapportée suggérant un mécanisme immuno-allergique [17, 48, 53, 54, 55].
Des dermatoses allergiques ont également été décrites chez des travailleurs exposés à l’oxyde d’éthylène en milieu de soin mais celles-ci semblent exceptionnelles [17, 20, 48, 56].
Effets génotoxiques
L’oxyde d’éthylène est un agent alkylant très réactif, susceptible d’interagir avec les protéines et les acides nucléiques. Il induit de façon dose-dépendante une augmentation de la fréquence des échanges de chromatides sœurs, des aberrations chromosomiques et des micronoyaux dans les lymphocytes de travailleurs exposés. Le niveau de preuve quant à sa capacité à former des adduits à l’ADN et des mutations de gènes rapporteurs dans des cellules somatiques a été jugé faible par le CIRC (possiblement du fait d’un manque d’études adaptées) [14, 20].
Effets cancérogènes
L’oxyde d’éthylène est reconnu comme « cancérogène pour l’Homme » par le CIRC (groupe 1). Chez l'animal, les données sur le mécanisme génotoxique et sur la cancérogénicité sont jugées suffisantes. Chez l'Homme, les preuves d'une association causale entre l'oxyde d'éthylène et les cancers lymphopoïétiques et hématopoïétiques (en particulier les tumeurs lymphoïdes, c'est-à-dire le lymphome non hodgkinien, le myélome multiple et la leucémie lymphoïde chronique) ainsi que le cancer du sein sont jugées limitées [14].
De nombreuses études épidémiologiques se sont intéressées à l’association entre le cancer (principalement les cancers hématopoïétiques) et l’exposition professionnelle à l’oxyde d’éthylène. Les données épidémiologiques les plus informatives proviennent d’une large étude de cohorte menée par le NIOSH auprès de 18 000 salariés américains exposés à l’oxyde d’éthylène dans plus d’une dizaine d’entreprises. Dans cette cohorte, il n’a pas été mis en évidence d’excès de mortalité par cancer (sauf par cancer des os sur la base d’un faible nombre de cas). En revanche, les données suggèrent une relation dose-réponse entre l’exposition cumulée à l’oxyde d’éthylène après un certain délai de latence et la mortalité par cancers hématopoïétiques surtout chez les hommes et en particulier par tumeurs lymphoïdes, et chez les femmes par cancer du sein [14]. D’autres études ont montré des résultats en faveur d’une association entre les cancers hématopoïétiques ou du sein et l’exposition professionnelle à l’oxyde d’éthylène, mais de façon inconstante, l’importance de l’effet observé restant souvent faible et les études présentant des limites [20, 57, 58].
A ce jour, les études épidémiologiques disponibles ne permettent pas de conclure formellement à une association causale entre l’exposition à l’oxyde d’éthylène et d’autres types de cancers (estomac, cerveau, pancréas) [14].
Effets sur la reproduction
Une augmentation du nombre de fausses couches, avortements spontanés mais également une prématurité ou à l’inverse un allongement de la durée de grossesse ont été décrites chez des femmes exposées à l'oxyde d'éthylène [59, 60, 61]. Il s'agit soit de personnel hospitalier soit d'assistantes dentaires. Un risque accru d’avortement spontané a également été rapporté dans une cohorte d’hommes exposés professionnellement à l’oxyde d’éthylène (OR=4,7 ; IC 95% [1,2-18,4] ; n=3/10 exposition paternelle à l’oxyde d’éthylène) [62]. L’interprétation de ces études est parfois difficile du fait des limites qu’elles présentent notamment la non prise en compte de tous les facteurs de confusion ou le faible nombre de cas étudiés.
Cohérence des réponses biologiques chez l'Homme et l'animal