Pathologie - Toxicologie
-
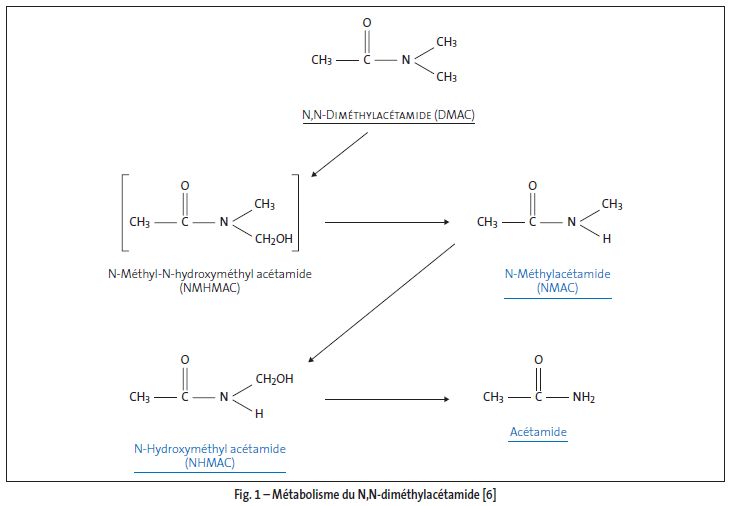
Toxicocinétique - Métabolisme [4, 5, 6]
Le N,N-diméthylacétamide est bien absorbé par ingestion, par inhalation et par la peau; il est métabolisé dans le foie et excrété essentiellement dans l’urine. Le métabolite urinaire majeur est le N-méthylacétamide.
Chez l'animal
Absorption
Le N,N-diméthylacétamide (DMAC) est bien absorbé, chez l'homme comme chez l'animal, par les poumons, la peau et le tractus gastro-intestinal. Par voie orale, chez le rat, l'absorption représente environ 93 % de la dose ingérée.
Chez l'homme, lors d'une exposition à des vapeurs, l'absorption pulmonaire est responsable de 70 % des métabolites urinaires mesurés, et l'absorption cutanée représente 30 % de l'absorption totale. Le passage percutané du DMAC est identique qu'il soit déposé sur la peau sous forme liquide ou dans l'atmosphère sous forme de vapeurs.
Métabolisme
Après absorption, le N,N-diméthylacétamide est véhiculé par le sang jusque dans le foie où il est déméthylé (voir fig. 1). Sa clairance est plus rapide chez la souris que chez le rat ; les demi-vies plasmatiques sont 0,3 - 0,5 h et 0,6 - 1,5 h respectivement. Elles sont indépendantes de la durée d'exposition. La persistance plasmatique du DMAC est supérieure à 24 h chez le rat et inférieure à 12 h chez la souris (demi-vie plasmatique de 2,2 - 3 h chez le rat et 0,6 - 1,3 h chez la souris)[9].
Chez le rat, la déméthylation du DMAC est saturable à des concentrations de 300 - 500 ppm ; chez l'homme, elle ne semble pas saturable jusqu'aux valeurs limites préconisées dans l'air [4].
Schéma métabolique

Excrétion
Chez le rat, après exposition par voie orale ou inhalatoire, l'excrétion est essentiellement urinaire (93 %), le reste est éliminé dans les fèces (5 %), ou persiste dans les tissus (2 % après 72 h). Les métabolites urinaires principaux sont le N-méthylacétamide ou NMAC (60 - 70 %), le N-hydroxyméthylacétamide ou NHMAC (7 - 10 %) et l'acétamide (7 - 10 %) ; des traces de produit inchangé sont trouvées dans l'urine et moins de 1 % est éliminé sous forme de CO2 dans l'air expiré.
Surveillance Biologique de l'exposition
Le dosage du NMAC dans les urines est retenu comme indicateur biologique d'exposition (voir Recommandations, § Au point de vue médical)[20].
Toxicité expérimentaleToxicité aiguë [4, 5, 10-13]
Le N,N-diméthylacétamide a une faible toxicité aiguë (voir Tableau 1); il est irritant pour la peau et les yeux du lapin mais n’est pas sensibilisant pour le cobaye.
Aux doses létales, les symptômes varient avec l'espèce :
- chez la souris, l'excitation est suivie d'hypoactivité, faiblesse, dépression, paralysie des membres postérieurs, convulsions et saignements de nez. La mort survient, après un coma, en général dans les 24 heures ;
- chez le rat, on observe une atonie générale avec prostration, décubitus ventral et halètement ; les animaux sont sensibles au toucher. La mort survient aux fortes doses entre 10 minutes et 26 heures ; aux doses plus faibles, elle peut être retardée jusqu'à 11 jours.
À l'autopsie, on note une dégénérescence du cerveau, du foie, du cœur et des reins.
Voie
Espèce
DL50/CL50
Orale
Rat
3600 - 5680 mg/kg
Souris
2600 - 4900 mg/kg
Lapin
> 5000 mg/kg
Cutanée
Rat
7500 mg/kg
Souris
9600 mg/kg
Lapin
2112 - 3600 mg/kg
Cobaye
> 940 mg/kg
Inhalatoire
Rat
2475 ppm/1 h
Souris
7200 mg/m3/1 h ( = 2021 ppm)
406 ppm/3,5 h
Tableau 1. Toxicité aiguë du N,N-diméthylacétamide.Une exposition subaiguë par inhalation (288 ppm, 6 h/j, 14 j) induit, chez le rat, une inflammation nasale, une diminution du nombre de leucocytes, une hypertrophie et une nécrose hépatiques, et une atrophie testiculaire. Chez la souris (30 - 100 - 310 - 490 - 700 ppm, 6 h/j, 5 j/sem., 10 j), on note des modifications hématologiques (anémie), une nécrose et une hypertrophie hépatiques, une atrophie et une nécrose des organes lymphoïdes, une hypoplasie de la moelle osseuse et des lésions testiculaires essentiellement chez l'animal en période de puberté (dégénérescence des tubes séminifères, oligospermie). À concentrations plus faibles ou chez l'animal adulte, ces lésions sont minimales et réversibles. La NOAEL est de 100 ppm chez la souris en période de puberté et de 300 ppm chez l'adulte [14].
Irritation - Sensibilisation [3]
Le N,N-diméthylacétamide est un irritant cutané pour le cobaye (solution à 25 % sur peau intacte et à 10 % sur peau abrasée) ; le produit est faiblement irritant pour la souris (pur, 2500 mg/kg, peau abrasée) et non irritant pour le lapin à 500 mg/kg.
L'irritation oculaire (pleurs, érythème, œdème), induite chez le lapin par une solution à 50 %, est réversible en 3 - 4 jours.
Le N,N-diméthylacétamide n'est pas sensibilisant pour la peau du cobaye.
Toxicité subchronique, chronique [4, 5]
Le N,N-diméthylacétamide, en expositions répétées ou prolongées, est toxique pour le foie.
L'organe cible d'une exposition répétée au DMAC, quelle que soit la voie, est le foie : augmentation du poids (rat, à partir de 100 ppm par inhalation ou 300 mg/kg/j par voie orale), dégénérescence kystique focale, hyperplasie biliaire (350 ppm, inhalation). La NOAEL pour le foie, chez le rat et le chien, est de 40 ppm, 6 h/j, 5 j/sem., pendant 6 mois. On observe également une irritation du nez et du tractus respiratoire ainsi qu'une néphropathie chronique progressive chez le rat et une augmentation du taux d'atrophie rétinienne bilatérale chez la souris (inhalation, 350 ppm pendant 2 ans).
Par voie cutanée (5 h/j, 5 j/sem., 6 sem.), le DMAC engendre, chez le chien, une dégénérescence graisseuse du foie et une irritation cutanée à partir de 945 mg/kg/j.
Effets génotoxiques [4, 5]
Le N,N-diméthylacétamide n’est pas génotoxique dans les tests pratiqués in vitro et in vivo.
In vitro, les résultats obtenus sont négatifs pour l'induction de mutations dans les bactéries, d'échanges entre chromatides-sœurs dans les cellules ovariennes de hamster chinois, ou de synthèse non programmée de l’ADN dans les cellules intestinales embryonnaires humaines avec activation métabolique.
In vivo, le N,N-diméthylacétamide n'augmente pas le taux des aberrations chromosomiques dans la moelle osseuse du rat (20 ou 700 ppm, 7 h/j, 5 j) ni dans les lymphocytes de travailleurs exposés. Il n'induit pas de létalité dominante chez le rat et la souris (inhalation, 200 ppm, 7 h/j, 5 j ou 2,53 mg/l en une exposition ; voie orale jusqu'à 3000 mg/kg) ni de létalité récessive liée au sexe chez la drosophile.
Effets cancérogènes [4, 5]
Le N,N-diméthylacétamide n’est pas cancérogène pour le rat ou la souris par voie orale ou inhalatoire. Un effet inducteur de la différenciation cellulaire a été montré in vitro et in vivo.
Il n'y a pas d'induction de tumeur par voie orale chez le rat (100 - 300 - 1000 mg/kg dans l'eau de boisson pendant 2 ans) ou par inhalation chez le rat et la souris (25 - 100 - 350 ppm, 6 h/j, 5 j/sem. pendant 2 ans (rats) ou 18 mois (souris)). Des lésions hépatiques (hyperplasie et nécrose) non néoplasiques sont produites à la forte concentration [15].
Une diminution du taux de tumeurs totales et induites (initiation 7,12-diméthylbenz(a)-anthracène, promotion huile de croton) a été montrée chez le hamster exposé au N,N-diméthylacétamide par voie cutanée (3 j/sem. pendant 6 sem.). Un effet identique a été observé, avec un mélange acide rétinoïque/N,N-diméthylacétamide, sur des cellules de carcinome embryonnaire malin in vitro et in situ chez la souris ; le traitement induit la différenciation complète des cellules malignes en tératome bénin.
Effets sur la reproduction [5]
Le N,N-diméthylacétamide induit une fœtolétalité et des malformations du cœur et des gros vaisseaux chez le rat et le lapin par voie orale et cutanée.
Fertilité
L'exposition du rat mâle par inhalation (jusqu'à 386 ppm, 6 h/j, pendant 69 j avant et pendant l'accouplement) ne modifie pas sa fertilité ni le nombre et la viabilité des portées, qu'il soit accouplé avec des femelles non exposées ou exposées aux mêmes concentrations.
Il n'y a pas d'augmentation du taux d'anomalies spermatiques chez la souris (20 ou 700 ppm, 7 h/j, 5 j/sem. pendant 6 semaines).
Développement
In vitro, le N,N-diméthylacétamide est embryotoxique et tératogène à des concentrations supérieures ou égales à 3,5 mmoles/L.
In vivo, il provoque une toxicité maternelle et fœtale ainsi que des malformations principalement au niveau du cœur et des gros vaisseaux :
- par voie orale, chez le rat (0 - 20 - 65 - 150 - 400 mg/kg/j du 6e au 19e jour de gestation) et le lapin (0 - 94 - 282 - 470 mg/kg/j du 6e au 18e jour de gestation) ;
- par voie cutanée, chez le rat (0 - 600 - 1200 - 2400 - 4800 mg/kg aux 9e, 10 et 11e, 11 et 12e, ou 12 et 13e jours de gestation) à des doses non toxiques pour les mères.
Par contre, la souris ne présente pas de malformations aux doses utilisées (voie orale, 0 - 241 - 402 - 1204 mg/kg/j du 6e au 15e jour de gestation); chez le lapin (voie cutanée, 0 - 125 - 250 - 500 mg/kg du 6e au 18e jour de gestation), il n'y a pas d'effet toxique en dehors de variations squelettiques à la plus forte dose ; par inhalation, chez le lapin (0 - 57 - 200 - 570 ppm 6 h/j du 7e au 19e jour de gestation), les malformations sont marginales et non significatives tandis que chez le rat (0 - 32 - 100 - 282 ppm 6 h/j du 6e au 15e jour de gestation), on n'observe qu'une baisse de poids fœtal aux doses toxiques pour les mères mais pas de malformation.
Voie
Espèce
NOAEL
Maternelle
Fœtotoxicité
Malformations
Orale
Rat
65 mg/kg/j
65 mg/kg/j
160 mg/kg/j
Souris
402 mg/kg/j
241 mg/kg/j
402 mg/kg/j
Lapin
< 94 mg/kg/j
-
94 mg/kg/j
Inhalatoire
Rat
100 ppm
100 ppm
282 ppm
Lapin
570 ppm
57 ppm
200 ppm
Cutanée
Rat
600 mg/kg/j
< 600 mg/kg/j
600 mg/kg/j
Lapin
500 mg/kg/j
250 mg/kg/j
500 mg/kg/j
Toxicité sur l’HommeL’exposition aiguë au N,N-diméthylacétamide, qui est absorbé par voie orale, par inhalation et de façon non négligeable par la peau, provoque une atteinte neurologique et hépatique. L’irritation cutanée est faible. Lors d’expositions répétées, les effets sont également neurologiques et hépatiques. Il n’existe pas de données sur les effets mutagènes, cancérogènes ou toxiques sur la reproduction.
Toxicité aiguë [4, 16]
Le N,N-diméthylacétamide, absorbé par voie orale, par inhalation et de façon non négligeable par la peau, provoque une atteinte neurologique et hépatique.
Lors de son emploi comme solvant de médicament, l'ingestion de doses répétées de 400 mg/kg pendant 3 ou 4 jours provoquait, chez la plupart des sujets, des troubles neuropsychiques : dépression, léthargie, confusion mentale et désorientation. À la fin du traitement, les sujets pouvaient présenter des hallucinations et des troubles de la perception. Ces symptômes avaient disparu quelques jours après l'arrêt de l'administration du produit. Lorsque des doses de 200 ou 300 mg/kg étaient employées, ces effets secondaires n'apparaissaient pas.
L'exposition accidentelle d'un salarié, tombé pendant 1 heure dans une cuve contenant un mélange de DMAC et de polyuréthanne (respectivement 65 % et 34,5 %), a provoqué une désorientation avec agitation, fièvre et brûlure au deuxième degré. Par la suite, sont apparues une hépatite avec coagulopathie de consommation, rhabdomyolyse et œsophagite exsudative [17].
L'application cutanée semble provoquer une irritation assez peu importante. Le DMAC serait irritant pour les yeux mais aucun cas précis n'est documenté.
Il n'y a pas de cas de sensibilisation rapportés.
Toxicité chronique [4, 16]
Le DMAC provoque les mêmes effets que lors des expositions aiguës : troubles neurologiques et hépatiques.
Des ouvriers exposés à du DMAC à des concentrations de 0 à 2 ppm (avec pics pouvant atteindre 95 ppm) présentaient une ébriété, de la fatigue et une irritation de la gorge. Il semble, dans ce cas, que les tests hépatiques soient restés normaux[18].
Plusieurs descriptions de cas d'hépatites chez des ouvriers exposés au DMAC sont publiées, ils présentent des caractéristiques communes. L'exposition chronique semble bien tolérée mais les sujets sont un jour exposés de façon plus importante au cours d'opérations polluantes avec, en particulier, une exposition cutanée. Les hépatites observées alors sont mixtes : cytolytiques (augmentation des ASAT et ALAT) mais avec une augmentation de la bilirubinémie[18, 19].
Il est important également de noter que le DMAC favorise la pénétration percutanée de nombreuses substances solubilisées.
Effets cancérogènes
Il n'existe pas de données permettant d'évaluer ces risques chez l'homme.
Effets sur la reproduction
Il n'existe pas de données permettant d'évaluer ces risques chez l'homme.
Cohérence des réponses biologiques chez l'Homme et l'animal