Accès rapides :

Vous êtes ici :

  1. Accueil
  2. Publications et outils
  3. Bases de données
  4. Fiches toxicologiques
  5. Chloralose (FT 201) (rubrique sélectionnée)

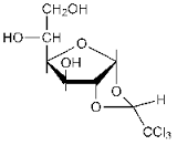
Chloralose

Fiche toxicologique n° 201

Sommaire de la fiche

Édition : Août 2025

Méthodes d’évaluation de l’exposition professionnelle

Aucune méthode validée pour la détermination de la substance dans l'air des lieux de travail. Le dosage du chloralose dans les échantillons biologiques ou les formulations rodenticides est réalisé par chromatographie en phase gazeuse [6, 7].

EN SAVOIR PLUS SUR LES FICHES TOXICOLOGIQUES