Accès rapides :

Vous êtes ici :

  1. Accueil
  2. Publications et outils
  3. Bases de données
  4. Fiches toxicologiques
  5. Phtalate de dibutyle (FT 98) (rubrique sélectionnée)

Phtalate de dibutyle

Fiche toxicologique n° 98

Sommaire de la fiche

Édition : Novembre 2016

Pathologie - Toxicologie

  • Toxicocinétique - Métabolisme [7]

    Le DBP est bien absorbé par voie orale chez l'homme et chez l'animal après hydrolyse en phtalate de monobutyle, qui est son principal métabolite. La bio-transformation est hépatique et l'excrétion, principalement urinaire.

    Chez l'animal
    Absorption

    Les données disponibles chez le rat indi­quent une bonne absorption par le tractus gastro-intestinal, puisqu'après administration orale de 14C-DBP, près de 90 % de la dose sont retrouvés dans les urines après 48 heures. L'absorption orale de DBP chez l'homme a été mise en évidence par une étude portant sur 13 personnes ayant absorbé de la nourriture contenant du DBP et chez lesquelles on a mesuré un taux plasmatique de DBP [14]. Le taux plasmatique moyen était de 0,1 mg de DBP/L, alors que celui du groupe témoin était de 0,02 mg/L.

    Chez le rat, la pénétration cutanée du 14C-DBP est rapide et la peau semble constituer un réservoir[15]. D'après une étude réalisée in vitro, l'absorption percutanée chez l'homme (0,07 µg/cm2/h) est bien inférieure à celle mesurée chez le rat (9,33 µg/cm2/h) [16].

    Aucune étude d'absorption par inhalation n'est disponible.

    Distribution

    L'administration orale de 14C-DBP à des rats n'a pas mis en évidence d'accumulation significative dans un quelconque organe. Quatre heures après l'administration, le taux de radioactivité le plus faible a été relevé dans le cerveau (0,03 %) alors que le plus élevé a été mesuré au niveau des reins (0,66 %). 48 heures après l'administration, le DBP ne subsiste plus dans l'organisme qu'à l'état de traces (< 0,01 %) [5]. Aucune accumulation particu­lière n'a été mise en évidence après pénétra­tion cutanée [17].

    Le passage transplacentaire du DBP et de ses métabolites a été mis en évidence chez le rat après administration de 14C-DBP Les taux de radioactivité placentaire et embryonnaire mesurés correspondent au tiers ou moins du taux plasmatique retrouvé chez les mères (entre 0,15 et 0,2 % de la dose administrée). Le MBP (phtalate de monobutyle), métabolite majoritaire, serait en grande partie respon­sable des effets embryotoxiques observés. Aucune accumulation de molécules radiomar­quées n'a été relevée dans les tissus mater­nels ou embryonnaires [18, 20].

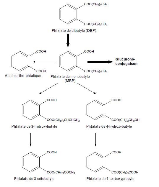
    Métabolisme

    Le DBP est hydrolysé en MBP par une lipase pancréatique et une estérase de la muqueuse intestinale avant d'être absorbé. Cette hydrolyse peut également survenir après l'absorption, au niveau hépatique et rénal. Le phtalate de monobutyle constitue le principal métabolite actif du DBP et serait responsable de sa toxicité. Il existe 6 métabo­lites secondaires formés à partir du MBP, dont le principal est un dérivé glucuro-conjugué. Ces métabolites, dont la proportion varie selon les espèces, sont principalement retrou­vés dans les urines.

    Aucune étude de bio-transformation n'est actuellement disponible après administration par inhalation ou par voie percutanée.

    Des études comparatives in vitro chez le rat, le babouin et l'homme ont montré que les taux d'hydrolyse par les lipases intestinales étaient assez similaires chez les trois espèces, évo­quant une absorption du monoester par la muqueuse gastrique, assez analogue chez le rat et l'homme.

    Schéma métabolique

    Schéma métabollique du DBP [19 et 21 ].

     

    Excrétion

    Plus d'un tiers du DBP absorbé est excrété par la bile pour être réabsorbé au niveau intes­tinal, entrant ainsi dans un cycle entérohépatique qui explique sa faible excrétion fécale (moins de 10 %), alors que plus de 90 % d'une dose, administrée oralement à des rats ou des hamsters, sont éliminés en 24 à 48 heures par voie urinaire. Le principal métabolite urinaire identifié dans l'urine de rat est le MBP-glucuronide. Chez le rat, 7 jours après exposition cutanée, près de 60 % de la dose administrée ont été retrouvés dans les urines et seulement 12 % dans les fécès.

    Surveillance Biologique de l'exposition [22-25]

    Trois métabolites du di-n-butyl-phtalate (DnBP) sont détectables dans les urines chez l’homme : le mono-n-butyl-phtalate (MnBP), le mono-3-carboxypropyl-phtalate (MCPP) et le mono-3-hydroxy-n-butyl-phtalate (MHBP).

    Le dosage du MnBP total urinaire en fin de poste de travail est proposé pour la surveillance biologique des sujets professionnellement exposés (SBEP)  car il s’agit du métabolite principal du DnBP. Les études de terrain disponibles ne permettent de faire une corrélation entre concentration atmosphérique de DnBP et concentration urinaire de MnBP. Ce paramètre n’est pas spécifique du DnBP (métabolite commun au benzylbutyl-phtalate). Le MnBP peut être retrouvé dans les urines de la population générale non professionnellement exposée (95eme percentile).

    Le dosage du MCPP urinaire en fin de poste de travail a pu être proposé mais étant donné son manque de spécificité (métabolite commun au di-n-octyl-phtalate) et le peu de données en milieu professionnel, ce dosage n'est pas retenu pour la SBEP. Le MCPP urinaire peut être retrouvé dans les urines de la population générale non professionnellement exposée. 

    Le dosage du MHBP urinaire en fin de poste de travail a pu être proposé mais étant donné l'absence de donnée en milieu professionnel, ce dosage n'est pas préconisé pour la SBEP.

    Il n’existe pas de valeur biologique d’interprétation  pour ces paramètres pour la population professionnellement exposée.

  • Toxicité expérimentale
    Toxicité expérimentale

    Les données disponibles chez l'animal montrent que le DBP présente une faible toxicité aiguë quelle que soit la voie d'ex­position (orale, dermique ou inhalatoire) et une absence de potentiel irritant (œil, peau, voie respiratoire) et sensibilisant cutané. Après exposition répétée par voie orale, l'organe cible est le foie.

    Toxicité aiguë

    La DL50 du DBP administré par voie orale varie entre 4,8 et 5,3 g/kg chez le rat et entre 6,3 et 8 g/kg chez la souris. Chez le lapin, la DL50 par voie cutanée est supérieure à 20 g/kg. Pour le rat, la CL50 est supérieure à 15,68 mg/l (4 heures d'exposition).

    L'exposition aiguë au DBP induit une diminu­tion générale d'activité se traduisant par une somnolence, des difficultés respiratoires, ainsi qu'une perte de coordination des mouvements. Le décès des animaux est précédé d'une dimi­nution de la température corporelle et survient dans les trois jours qui suivent l'administration. L'examen anatomo-pathologique révèle des foyers nécrotiques au niveau hépatique.

    Les études d'irritation cutanée et oculaire ne mettent pas en évidence d'irritation significative.

    Une légère irritation des voies aériennes, chez des souris ayant inhalé de fortes concen­trations de DBP (250 mg/m3) pendant 2 heures, a été rapportée. De même l'exposition répétée à des aérosols de DBP (509 mg/m3) engendre l'apparition de croûtes sur le museau des rats. Néanmoins, aucun signe d'inflammation n'est visible et ces effets irritatifs peuvent être consi­dérés comme modérés.

    Deux tests de sensibilisation cutanée (maxi­malisation) ont été réalisés sur des cobayes et un test par application répétée sur le lapin. Aucun de ces tests n'a mis en évidence d'effet sensibilisant.

    Toxicité subchronique, chronique

    Chez le rat et la souris, l'ingestion pendant 90 jours d'une alimentation contenant 2 % de DBP est responsable d'une altération des fonc­tions hépatiques, ainsi que d'une prolifération de peroxysomes ; l'homme est considéré comme moins sensible que le rat à l'induction peroxysomale produite par les phtalates [26]. Une anémie avec présence d'érythrocytes nucléés circulants suggèrent une toxicité hématologique périphé­rique. Comme pour de nombreux phtalates, une baisse du poids corporel accompagnée d'une augmentation de la masse des reins et du foie sont également observées chez des rats traités. La dose sans effet toxique (NOAEL) est de 152 mg/kg/j pour les rats.

    La mauvaise qualité de la seule étude dispo­nible sur le lapin, par application cutanée répé­tée de DBP, ne permet pas d'en apprécier les effets.

    Une étude de toxicité par inhalation menée pendant 28 jours chez le rat (1,18 à 509 mg/m3) montre des modifications histologiques sans signes d'inflammation au niveau pulmonaire, mais n'engendre pas de toxicité systémique [7]. La concentration sans effet toxique (NOAEC) est supérieure à 509 mg/m3.

    Effets génotoxiques

    Le DBP n'est pas génotoxique dans les tests effectués in vitro et in vivo.

    In vitro, les tests de mutations géniques et de réparation indirecte de l'ADN réalisés sur bac­téries et levures, ainsi que les tests de muta­tions géniques et d'aberrations chromoso­miques réalisés sur cellules de mammifères, se sont révélés négatifs, à l'exception d'un essai de mutations géniques sur cellules de lym­phome de souris et d'un test bactérien, faible­ment positif à des doses par ailleurs cyto­toxiques.

    In vivo, un test du micronoyau sur la souris s'est révélé négatif. De plus la recherche de micronoyaux dans le sang périphérique chez la souris contenant jusqu'à 2 % de DBP adminis­tré dans l'alimentation pendant 13 semaines, n'a pas fourni de résultats laissant entrevoir un quelconque effet génotoxique. Comme les autres phtalates de dialkyle, le DBP peut donc être considéré comme non génotoxique.

    Effets cancérogènes

    En dépit de l'absence d'études « long- terme » sur le DBP, il semble raisonnable de considérer que cette substance, comme les autres phtalates, n'est pas un cancérogène potentiel pour l'homme.

    Aucune étude de cancérogenèse n'a été menée ; toutefois, de nombreuses études ont montré que le DBP était capable, comme le DEHP (phtalate de bis(2-éthylhexyle)), le DINP (phtalate de diisononyle) et le DIDP (phtalate de diisodécyle) d'induire chez le ron­geur la prolifération de peroxysomes. Or, il est actuellement admis que ce mécanisme est res­ponsable des effets cancérogènes hépatiques observés dans les études long terme chez le rongeur. Il a été récemment montré qu'il s'agis­sait d'une spécificité d'espèce et que cette pro­lifération ne se produisait pas chez le cobaye, le marmouset, le singe cynomolgus ni au niveau des hépatocytes humains. Des investigations récentes en ont apporté la preuve mon­trant que les substances responsables de la prolifération de peroxysomes exerçaient leurs effets via l'activation du récepteur PPARa et que le gène responsable de cette activation ne s'exprimait que très faiblement chez l'homme. En conséquence, les effets cancérogènes observés chez le rongeur sont considérés comme non extrapolables à l'homme.

    Il doit être souligné que le DEHP qui entraîne des effets assez similaires a été classé en 2000 par le CIRC (IARC (*)) dans le groupe 3 : « Agent ne pouvant pas être classé quant à sa cancérogénicité pour l'homme en raison d'indi­cations insuffisantes chez l'homme et d'indica­tions limitées chez l'animal ».

    (*) Centre International de Recherche sur le Cancer, Lyon (France).

    Effets sur la reproduction [27]

    L'exposition au DBP entraine une atteinte de la fertilité chez le rongeur (rat, souris) dans les 2 sexes.  Le DBP est embryotoxique, foetotoxique et tératogène chez le rongeur. Des effets sur le développement postnatal sont observés

    Effet sur la fertilité

    Chez la femelle, des effets sur la reproduc­tion sont observés à la dose de 250 mg/kg/j chez le rat, et à des doses supérieures à 250 mg/kg/jour chez la souris.

    Chez le mâle, de nombreuses études conduites chez le rongeur ont montré des effets fonctionnels et structurels sur la repro­duction (atrophie testiculaire chez le rat, la souris ou le cobaye,dimi­nution du nombre de spermatozoïdes, diminution du nombre de petits par portée).Chez le rat, à partir d'une absorption orale de DBP de 250 mg/kg/j pendant 15 jours, une atrophie des testicules, accompagnée d'une dégénérescence des tubules séminifères (avec diminution du nombre de spermatides et des spermatogonies), est observée.

    L'atteinte de la fertilité chez le rat male s'exprime surtout dans la cas d'une exposition foetale, avec une sensibilité décroissante : fœtus, nouveaux-nés puis adultes.

    Effet sur le développement 

    Des effets foeto- et embryo-toxique (rats/souris) ont été observés par voie orale en l'absence de toxicité maternelle.  L'appareil reproducteur male est l'organe cible principal de la toxicité du DBP (cryptorchidie, hypospadias, diminution de la distance ano-génitale). La baisse de production de testostérone est l'effet le plus frequemment décrit. 

    Le DBP administré par voie orale à des femelles rates ges­tantes, on observe une diminution du poids fœtal, l'apparition de fentes palatines, de fusions des sternébres, une diminution de la distance ano-génitale, ainsi qu'une cryptorchi­die chez le mâle.

    Certaines études relatent également des effets postnataux (altération du développe­ment de l'appareil reproducteur mâle). A partir d'une dose de 100 mg/kg/j administrée aux femelles, du 12e au 21e jour de la gestation, on note un retard de la séparation du prépuce et une absence de régression des mamelons. Ces effets sont accompagnés, à la dose supérieure de 250 mg/kg/j, d'hypospadias, d'agénésie de l'épididyme et des vésicules séminales, d'une cryptorchidie et d'une diminution de la distance ano-génitale, ainsi que d'une faible incidence d'adénomes interstitiels.

    Effets pertubateurs endocriniens

    Les propriétés estrogéniques du DBP ont été explorées ; elles sont faibles ou inexistantes in vitro. Les tests réalisés in vivo (modification du poids de l'utérus ou de la perméabilité utérine, « cornification » des cellules de l'épithélium vaginal) donnent également des résultats négatifs.

    Le DBP a une activité de type  anti-androgénique (inhibition de la synthèse de testostérone par les cellules de Leydig).

  • Toxicité sur l’Homme

    Le DBP exerce une action irritante modérée sur la peau et les muqueuses. 
    La pénétration du DBP peut survenir par voies cutanée, respiratoire ou orale. Les données sur le développement demandent à être confirmées.

    Toxicité aiguë [7, 29]

    L'inhalation d'aérosols ou de vapeurs peut causer une irritation modérée des muqueuses respiratoires. Le liquide, les aérosols et les vapeurs peuvent provoquer une irritation au niveau oculaire (conjonctivite) ou cutané (éry­thème). Le risque de sensibilisation cutanée est faible et discuté.

    Dans un cas, dont l'histoire est difficile à reconstituer, l'ingestion accidentelle de 10 grammes de DBP (environ 150 mg/kg) a entraîné, après un certain temps de latence, une symptomatologie associant troubles digestifs (nausées, vomissements, diarrhée), atteinte oculaire (brûlures, photophobie, lar­moiement en rapport avec une kérato-conjonctivite) et atteinte rénale (hématurie, leucocyturie et albuminurie). L'ensemble de ces troubles a été résolutif en moins d'un mois.

    Toxicité chronique [7, 30, 32, 33]

    Trois enquêtes épidémiologiques chez des travailleurs exposés à divers phtalates, dont le DBP, et à des alcools ont montré une forte inci­dence de neuropathie centrale (narcose), péri­phérique (polynévrite sensitivomotrice) ou autonome (hypertension artérielle, hyperhydrose palmo-plantaire) pour des niveaux d'ex­position importants. L'examen sanguin a retrouvé une légère pancytopénie avec réticulocytose modérée et accélération de la vitesse de sédimentation. Cependant, en raison de l'exposition multiple, il est difficile d'évaluer la toxicité propre au DBP.

    Effets cancérogènes [7]

    Il n'existe pas d'étude permettant d'appré­cier chez l'homme le risque cancérogène du DBP.

    Effets sur la reproduction [34]

    Les effets de l'exposition au DBP  in utero sur le développement  (baisse du poids de naissance, processus de masculinisation) demandent à être confirmés.  

  • Cohérence des réponses biologiques chez l'Homme et l'animal
EN SAVOIR PLUS SUR LES FICHES TOXICOLOGIQUES