Pathologie - Toxicologie
-
Toxicocinétique - Métabolisme
Le méthacrylate de méthyle est absorbé chez l’homme comme chez l’animal par voies digestive et inhalatoire ; il est transformé majoritairement en CO2 et exhalé. Quelques métabolites urinaires ont été décrits.
Chez l'animal
Absorption
Le méthacrylate de méthyle est rapidement absorbé principalement par voies pulmonaire et orale. In vitro, il traverse la peau humaine ; l'absorption, faible sans occlusion (0,56 %), est augmentée sous occlusion, ce qui suggère une forte évaporation au niveau de l'épiderme.
Après exposition du rat par inhalation (tête seule, 100 ppm), la concentration de méthacrylate de méthyle dans le sang (0,11 mg/mL), les poumons (20,6 µg/g) et le cerveau (25,2 µg/g) est indépendante de la durée d'exposition jusqu'à 4 heures. Quand la concentration augmente, 10 à 20 % du méthacrylate de méthyle respiré se dépose dans le tractus respiratoire supérieur où il est hydrolysé par les carboxylestérases des cellules épithéliales en acide méthacrylique [9].
Distribution
La concentration de méthacrylate de méthyle se modifie rapidement au niveau sérique ; chez le rat, après administration d'une dose de 800 mg/kg par gavage, la concentration maximale est atteinte en 10 à 15 min et la décroissance se fait en 50 min. In vitro, la demi-vie dans le sang humain est de 10 à 40 minutes.
Le méthacrylate de méthyle radiomarqué se distribue, après injection intraveineuse (i.v.) chez le rat, essentiellement dans le sang, le cœur, les poumons, le foie, les reins et les glandes salivaires ; une partie est retrouvée dans les vésicules séminales[1].
Métabolisme
Il est rapidement métabolisé, essentiellement dans le foie. D'après l'expérimentation animale, il existerait plusieurs voies métaboliques possibles :
- la première, probablement la plus importante, est la voie oxydative, aboutissant à la formation de dioxyde de carbone par l'intermédiaire du cytochrome P450 et du cycle des acides tricarboxyliques (cycle de Krebs) ;
- la deuxième, sous l'action d'une carboxylestérase, aboutit à une hydrolyse avec formation de méthanol et d'acide méthacrylique ; ce dernier, conjugué à l'acétyl-coenzyme A, entrerait dans le métabolisme des lipides ;
- une troisième, plus annexe, est une voie de conjugaison au glutathion, sous l'action de la glutathion-S-transférase, aboutissant à la formation d'acide mercapturique (N-acétyl-S-(2-carboxypropyl)cystéine), probablement lorsque la voie oxydative de détoxification est saturée par une forte dose.
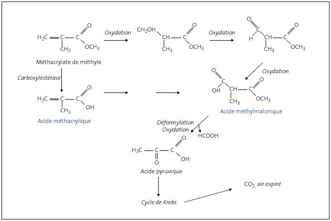
Schéma métabolique

Excrétion
Après administration unique de 14C-méthacrylate de méthyle par voie orale (120 mg/kg) ou intraveineuse (i.v.) (6,8 mg/kg) chez le rat, 76 à 88 % des molécules marquées sont excrétées dans l'air expiré en 10 jours (dont moins de 1,4 % de produit inchangé), 7 à 14 % dans l'urine, 1,7 à 3 % dans les fèces et le reste est retenu dans le foie et le tissu adipeux. Les métabolites urinaires mis en évidence sont des intermédiaires du métabolisme (acides méthylmalonique, succinique, hydroxyisobutyrique et 2-formylpropionique) ainsi que des quantités mineures d'acide mercapturique, de thioéthers et des traces du composé parental [1, 9].
Toxicité expérimentaleToxicité aiguë [1]
La toxicité aiguë du méthacrylate de méthyle par voies orale, inhalatoire ou cutanée est faible. C’est une substance irritante pour la peau et le tractus respiratoire et sensibilisante.
Les DL50 orales pour le rat, la souris, et le lapin sont > 5000 mg/kg ; par inhalation, chez le rat et la souris, les CL50 sont > 25 mg/L/4 h. La toxicité cutanée chez le lapin apparaît au-delà de 5000 mg/kg sous occlusion.
Le signe clinique majeur chez le rat, la souris et le lapin par voies orale et inhalatoire est une augmentation de la fréquence respiratoire en 2 à 5 min, suivie par une baisse en 15 à 40 minutes ; une dépression du système nerveux central, une modification de coloration de la peau et une piloérection accompagnent les effets respiratoires. La prostration et la narcose précèdent la mort par arrêt respiratoire.
À l'autopsie, on observe, chez le chien exposé par voie orale (5 mL/kg), des modifications dégénératives dans les tubes rénaux et, chez le rat exposé par inhalation (100 ppm pendant 2 h), une congestion pulmonaire, avec ou sans hémorragie, une vasodilatation et un œdème pulmonaires. Administré par voie cutanée sous occlusion, le méthacrylate de méthyle induit, chez le lapin (38 mg/kg, durée non précisée), une irritation et une dépression temporaire du système nerveux central.
Le méthacrylate de méthyle est un irritant de la peau du lapin (avec formation d'œdème et d'escarres) ; administré sous forme non diluée dans l'œil, il n'a pas d'autre effet qu'une conjonctivite après 24 heures. Au niveau pulmonaire chez le rat, il induit congestion, vasodilatation et œdème résultant d'une irritation pulmonaire et alvéolaire probablement liée à la transformation du méthacrylate de méthyle en acide méthacrylique.
De nombreux tests de sensibilisation cutanée chez le cobaye donnent des résultats positifs avec des solutions dont la concentration est d'au moins 50 %.
Toxicité subchronique, chronique [1, 7]
Dans les études subaiguës, subchroniques et chroniques par inhalation, chez le rat et la souris, la cible principale du méthacrylate de méthyle est le tractus respiratoire et en particulier la cavité nasale. Après exposition orale à forte dose, seul le système nerveux central est atteint.
Chez le rat, le tissu cible est l'épithélium olfactif, montrant dégénérescence et/ou nécrose à des concentrations supérieures ou égales à 100 ppm. Les lésions nasales (excepté la nécrose) induites par une exposition à 100 ppm sont réversibles en 4 à 13 semaines. À des concentrations supérieures ou égales à 400 ppm ou en cas d'expositions prolongées (2 ans), on observe, au niveau de la cavité nasale, des infiltrats inflammatoires dans l'épithélium olfactif et respiratoire, une augmentation du nombre de glandes sous muqueuses, une hyperplasie des cellules de Goblet et une inflammation de la muqueuse. À 400 ppm, l'épithélium olfactif est remplacé par un épithélium respiratoire; cette métaplasie persiste même après 13 semaines de récupération. La NOAEC est de 25 ppm (104 mg/m3). La souris exposée à long terme présente des lésions de l'épithélium olfactif à des concentrations supérieures ou égales à 500 ppm. Le hamster ne présente pas de lésion au niveau du tractus respiratoire.
En dehors du tractus respiratoire, le méthacrylate de méthyle induit une létalité (≥ 2000 ppm), un retard de croissance, une baisse de poids corporel (souris ≥ 500 ppm, rat ≥ 400 ppm), des nécroses dans le foie et les reins (souris ≥ 2000 ppm) et une atrophie des follicules spléniques et de la moelle osseuse (rat, 5000 ppm). Un effet sur le système nerveux central (apathie, réduction de l'activité locomotrice et de l'apprentissage) a été montré chez le rat après exposition orale à 500 mg/kg/j pendant 21 jours. Une exposition dans l'eau de boisson ne provoque aucun effet, chez le rat, jusqu'à une dose de 136 mg/kg/j pendant 2 ans.
Effets génotoxiques [1]
Le méthacrylate de méthyle est clastogène in vitro à des doses cytotoxiques ; in vivo, les tests pratiqués sont négatifs.
In vitro, le test d'Ames est négatif avec et sans activateurs métaboliques. Dans les cultures de cellules de mammifères, le méthacrylate de méthyle est un clastogène fortement toxique. Il induit :
- dans les cellules ovariennes de hamster chinois, en relation avec la dose, avec ou sans activateurs métaboliques, une cytotoxicité liée à la durée de traitement, une inhibition de la synthèse de l'ADN, des aberrations chromosomiques de type chromatidiennes (essentiellement lacunes et cassures) et des échanges entre chromatides sœurs [20];
- dans les cellules de lymphome de souris, des mutations géniques en présence d'activateurs métaboliques ainsi qu'une légère augmentation des échanges entre chromatides sœurs.
In vivo, un test d'induction de micronoyaux dans la moelle osseuse de rat, exposé par voie orale, donne des résultats négatifs jusqu'à la dose de 4520 mg/kg ; un test de létalité dominante chez la souris est également négatif.
Effets cancérogènes [1, 21]
Le méthacrylate de méthyle n’a pas montré d’effet cancérogène chez l’animal dans les tests pratiqués.
Chez le rat, exposé à 100 et 400 ppm pendant 2 ans par inhalation, seuls 2 animaux sur 98 présentent des adénomes de l'épithélium respiratoire de la cavité nasale. Chez le rat et la souris par inhalation (500 et 1000 ppm, 6 h/j, 5 j/sem, 102 sem), on observe une baisse de poids, une inflammation de la cavité nasale et une dégénérescence de l'épithélium olfactif. Il n'y a pas de développement tumoral en dehors d'une augmentation marginale de leucémies à cellules mononucléées chez les rats femelles [22]. Chez le hamster (0 - 25 - 100 - 400 ppm, 6 h/j, 5 j/sem, 78 sem), l'exposition induit une baisse de poids et une létalité à la forte concentration, mais pas de tumeur.
Exposés par voie orale, le chien (10 - 100 - 1000 ppm, encapsulés dans de la gélatine pendant 2 ans) et le rat (660 - 2000 ppm dans l'eau de boisson, pendant 2 ans) ne développent pas de tumeur; cependant des insuffisances méthodologiques limitent sérieusement la signification de ces résultats.
Effets sur la reproduction [1]
Par inhalation, le méthacrylate de méthyle n’a pas d’effet sur la fertilité ou le développement de l’animal même à des concentrations toxiques pour les mères.
Fertilité
Une étude de létalité dominante, où seules les souris mâles ont été exposées à la substance (100 - 1000 - 9000 ppm, 6 h/j, 5 j), ne révèle aucune toxicité sur la fertilité ou le développement préimplantatoire ; cependant la durée de traitement choisie est très courte en comparaison de la durée du cycle de spermatogenèse (35 j).
Développement
Plusieurs études ont été menées, par inhalation chez le rat (0 - 99 - 304 - 1178 - 2028 ppm ou 0 - 100 - 1000 ppm, 6 h/j du 6e au 15e jour de gestation). Le méthacrylate de méthyle induit une toxicité maternelle, objectivée par une baisse de poids et de prise de poids, mais pas d'embryo- ou foetotoxicité ni d'augmentation des malformations. La NOAEL pour la toxicité maternelle est de 1000 ppm. À très fortes concentrations (27 800 ppm pendant 54 min, du 6e au 15e jour de gestation), on observe une augmentation légère mais significative de la fœtolétalité précoce, une baisse de poids fœtal, des hématomes et un retard d'ossification.
Injecté par voie parentérale, chez le rat (i.p., 0,133 - 0,266 - 0,443 mL/kg aux 5e, 10e et 15e jours de gestation) et le lapin (0,004 - 0,04 - 0,4 ml/kg/j du 6e au 18e jour de gestation), le méthacrylate de méthyle induit, chez le rat, des hémangiomes chez le fœtus et, chez le lapin, à la plus forte dose uniquement, des résorptions précoces ainsi qu'une baisse de poids fœtal.
Toxicité sur l’HommeLes principaux effets aigus décrits avec le méthacrylate de méthyle sont des effets irritants de la peau et des muqueuses. Lors d’expositions chroniques, des sensibilisations cutanées et des asthmes sont observés ainsi que des atteintes neurologiques. Les données actuellement disponibles chez l’homme ne permettent pas de conclure quant à une éventuelle cancérogénicité du méthacrylate de méthyle.
Toxicité aiguë
Le méthacrylate de méthyle est modérément irritant pour la peau et les muqueuses respiratoires, oculaires et nasales. Son action est moins importante que celle des acrylates de poids moléculaire inférieur [1, 4].
Des signes d'irritation cutanée (à type d'érythème ou plus rarement de brûlure) ou oculaire (à type de conjonctivite) sont décrits.
L'irritation des voies aériennes supérieures peut apparaître après 20 à 90 minutes d'une exposition à des vapeurs de méthacrylate de méthyle à partir de 50 ppm ; les effets associent toux, dyspnée et parfois signes d'intoxication systémique à type de fièvre, malaise, nausées, douleur thoracique, céphalées ou endormissement [1, 4, 29].
Des signes d'intoxication systémique plus sévères sont rapportés lors d'inhalation aiguë à des concentrations supérieures à 2000 ppm ; on observe alors une tachypnée, un œdème pulmonaire voire une dépression respiratoire.
Une baisse de la pression artérielle pouvant aller jusqu'à l'arrêt cardiaque a été décrite chez des sujets opérés pour une plastie osseuse (dont le ciment est à base de méthacrylate de méthyle) ; on peut se poser la question du rôle possible du passage sanguin direct dans l'apparition de ces effets [1, 9].
Toxicité chronique [1, 4, 9]
L'exposition cutanée répétée au méthacrylate de méthyle est faiblement irritante ; il est à l'origine de dermites d'irritation de contact, avec sécheresse cutanée plus particulièrement du dos des mains [1, 25].
De nombreux cas de sensibilisation cutanée (eczéma de contact, eczéma manuporté ou aéroporté, urticaires) confirmés par des patch-tests ont été rapportés lors d'expositions professionnelles : chez les prothésistes dentaires et dentistes notamment lors de l'utilisation de résines composites, de prothèses dentaires ou de ciments à base de méthacrylate de méthyle ; dans les professions médicales et paramédicales en particulier au contact de ciments de prothèse en orthopédie ; chez les salariés de la fabrication des plastiques durs (plexiglas par exemple) dont le méthacrylate de méthyle est le principal constituant. Parmi les différents méthacrylates, le méthacrylate de méthyle n'est pas le plus allergisant ; la fréquence de la sensibilisation cutanée dans une population de techniciens dentistes est cependant estimée à 15 %. Des allergies croisées avec d'autres méthacrylates sont possibles.
La forme la plus typique de l'eczéma de contact est la pulpite douloureuse hyperkératosique, avec souvent diminution de la sensibilité tactile au niveau de la zone de contact avec le méthacrylate de méthyle ; l'association à des paresthésies des doigts (brûlures, fourmillements, sensation de froid et de douleur) persistantes même après guérison de la dermatose est très spécifique des acrylates et en particulier du méthacrylate de méthyle [1, 24].
Des cas d'allergies cutanées ont également été observés chez des patients soit porteurs de prothèses auditives, dentaires, ou d'ongles artificiels soit ayant eu une intervention avec pose de ciment osseux à base de méthacrylate de méthyle [1].
Sur le plan respiratoire, des signes d'irritation respiratoire à type de toux sont observés par de nombreux auteurs lors d'expositions professionnelles au méthacrylate de méthyle dès 150 ppm ; ils peuvent être associés à des troubles ventilatoires obstructifs ou restrictifs chroniques (parfois isolés) aux épreuves fonctionnelles respiratoires [1, 29].
Plusieurs cas d'asthme professionnel ont été rapportés ; leur mécanisme n'est pas clairement identifié (mécanisme irritatif et/ou immuno-allergique). Les principales professions concernées sont les professions de santé (infirmières en chirurgie orthopédique, personnels dentaires et ouvriers des plastiques lors de leur usinage...) [1, 9, 23].
D'autres types d'atteintes respiratoires ont été décrits comme des obstructions bronchiques chez des ouvriers de la chimie organique ou des plastiques exposés au méthacrylate de méthyle [1, 23]. Deux cas de pneumopathie d'hypersensibilité ont été rapportés chez des étudiants en dentaire dès les premières semaines d'exposition au méthacrylate de méthyle, avec amélioration à l'arrêt de l'exposition et rechute à la reprise[26].
Sur le plan neurologique, des manifestations, le plus souvent fonctionnelles, sont rapportées dans plusieurs études chez les sujets professionnellement exposés ; elles associent irritabilité, asthénie, céphalées, malaise, nausées et vertiges, troubles du sommeil, de la concentration et de la mémoire[1].
Des anomalies olfactives proportionnelles à l'intensité et à la durée de l'exposition ont été décrites chez des ouvriers exposés à de nombreux produits chimiques dont le méthacrylate de méthyle[9].
Une atteinte neurologique périphérique, associant paresthésies, blanchiment, engourdissement et sensation de froid et de douleurs des doigts, est rapportée dans plusieurs études en particulier chez les prothésistes dentaires. Dans ces cas, la diminution des vitesses de conduction nerveuse sensitives distales, témoigne d'une dégénération axonale dans les territoires en contact avec le méthacrylate de méthyle [1, 29].
Sur le plan cardiaque, une étude russe retrouve chez des ouvriers exposés au méthacrylate de méthyle, des cardio-myodystrophies avec anomalies électrocardiographiques. Ces anomalies ne sont pas confirmées par d'autres auteurs [1, 30].
Sur le plan hépatique, une élévation discrète et transitoire des transaminases et des phosphatases alcalines a été retrouvée chez des patients ayant subi une plastie osseuse avec du méthacrylate de méthyle. Les études réalisées en milieu professionnel ne retrouvent pas d'anomalie hépatique[29].
Effets génotoxiques
Une étude ancienne conduite chez 5 travailleurs exposés au chloroprène et au méthacrylate de méthyle à des concentrations allant de 0,1 à 0,5 ppm, n'a pas retrouvé d'augmentation significative de la fréquence des aberrations chromosomiques dans les lymphocytes circulants [4, 21].
Une étude conduite chez 31 travailleurs exposés au méthacrylate de méthyle à des concentrations allant de 0,7 à 21,6 ppm, n'a pas mis en évidence d'augmentation significative de la fréquence des échanges de chromatides sœurs dans les lymphocytes circulants comparés à 31 témoins appariés sur l'âge et le tabac [1, 5].
Aucune augmentation significative de la fréquence des aberrations chromosomiques dans les lymphocytes circulants n'a été notée chez 38 hommes exposés professionnellement à des concentrations allant de 0,9 à 71,9 ppm de méthacrylate de méthyle lors de la fabrication de verres à base de polyméthacrylate de méthyle ; le nombre d'échanges de chromatides sœurs était légèrement augmenté chez les exposés comparés aux témoins, probablement en raison de l'âge plus élevé des exposés[1, 3, 5].
Effets cancérogènes
Une vaste étude de mortalité a été conduite aux États-Unis parmi 13 863 sujets exposés professionnellement à des vapeurs de méthacrylate de méthyle dans deux entreprises de fabrication de plaques acryliques entre les années 1933 et 1982. Un excès significatif de mortalité par cancer du colon est retrouvé dans la cohorte 1933 - 1945, en particulier chez les sujets les plus exposés dans les années 1940 (et non significatif dans la cohorte 1943 - 1982) ainsi qu'un excès non significatif de cancer du rectum dans la cohorte 1933 - 1945, comprenant 3934 hommes. À noter une exposition conjointe à l'acrylate d'éthyle ainsi qu'à d'autres composés volatils formés pendant le process [1, 21].
Une autre étude de mortalité a été réalisée chez 2671 hommes travaillant dans deux entreprises de fabrication de résines acryliques entre les années 1957 et 1974. Parmi 1561 exposés au méthacrylate de méthyle à des concentrations inférieures ou égales à 1 ppm, aucun excès de mortalité par cancer (et en particulier de cancers du colon) n'est noté en dehors d'un excès limité de cancers du poumon[1].
Une étude de cohorte menée aux États-Unis chez 2178 hommes ne retrouve pas d'excès de cancers du colon (SMR 1,05) ; le niveau d'exposition n'est pas connu (étude citée dans [1] et dans[9]).
Une étude de mortalité a été menée en 1995 au Royaume-Uni chez 4324 travailleurs de 2 entreprises produisant du polyméthacrylate de méthyle et exposés au méthacrylate de méthyle entre les années 1949 et 1988. La durée moyenne d'exposition est de 7,6 ans à raison en moyenne de 13,2 ppm, 8 h/jour (avec des pics pouvant atteindre 100 ppm). Aucun excès significatif de mortalité par cancer colorectal ou par cancer toutes causes confondues n'est observé, ni aucune relation avec la durée d'exposition [28].
Une revue récente de la littérature, à partir des données publiées et non publiées sur la carcinogénicité du méthacrylate de méthyle, retrouve des excès de cancers respiratoires, gastriques et colorectaux dans quelques cohortes ; la relation avec l'exposition au méthacrylate de méthyle semble peu probable pour les cancers respiratoires et gastriques en raison des facteurs de risque associés tabac et alimentation ; quant à l'excès de cancers colorectaux, observés essentiellement dans la première étude, il reste inexpliqué. Les auteurs concluent que le méthacrylate de méthyle ne peut être considéré comme un cancérogène pour l'homme et ce en raison de la non cohérence des résultats entre les différentes études et de l'absence de relation dose-réponse [27].
Effets sur la reproduction
Une étude fait état d'une augmentation statistiquement significative du nombre d'avortements spontanés précoces et tardifs chez les femmes les plus exposées et du nombre de malformations chez des enfants de mères les plus exposées au méthacrylate de méthyle entre 1976 et 1985 ; en l'absence de précision sur les conditions d'exposition et de détails sur les effets observés, il est difficile de conclure sur une éventuelle relation causale avec l'exposition au méthacrylate de méthyle[1].
Deux études russes font état d'une augmentation significative de la fréquence des troubles sexuels et des anomalies des dosages hormonaux (FSH, LH, testostérone, estradiol), réversibles 1 à 2 ans après arrêt de l'exposition, chez des hommes et des femmes exposés à des niveaux supérieurs à 5 fois la valeur limite d'exposition utilisée en URSS à cette époque (soit plus de 12 ppm de méthacrylate de méthyle) ; la fréquence des anomalies semblait proportionnelle au niveau et à la durée d'exposition[1, 31 à 33].
Cohérence des réponses biologiques chez l'Homme et l'animal