Pathologie - Toxicologie
-
Toxicocinétique - Métabolisme [1]
Le DPGME est rapidement absorbé par voies orale et respiratoire ; l’absorption cutanée est plus lente. Une fois dans l’organisme, il se distribue, notamment dans le cerveau, le foie et les reins. Les métabolites formés sont éliminés via l’urine ou dans l’air exhalé sous forme de CO2.
Chez l'animal
Absorption
Même si aucune donnée quantitative n’existe, les effets observés suite à l’inhalation (rats, 500 ppm pendant 7 heures) ou l’application cutanée (lapins, pansement occlusif, 9500 mg/kg pc, pendant 90 jours) de DPGME confirment son absorption.
Distribution
Le DPGME se distribue dans tout l’organisme, via la circulation sanguine, sans s’accumuler.
Métabolisme
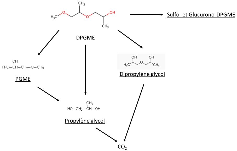
Les voies métaboliques majeures sont la conjugaison aux sulfates et à l'acide glucuronique ainsi que l'hydrolyse du groupement méthoxy pour former le dipropylène-glycol.
L'hydrolyse en éther monométhylique de propylène glycol (PGME) puis en propylène glycol est considérée comme voie mineure.
Schéma métabolique

Fig 1. Métabolisme du DPGME (d’après [17]) (les molécules soulignées sont éliminées dans l’urine)
Excrétion
Chez le rat, suite à l’ingestion de DPGME radiomarqué (1289 mg/kg pc, rat mâle), 60 % de la dose est excrétée dans l'urine, essentiellement sous forme de métabolites (glucurono- et sulfoconjugués du DPGME, PGME, dipropylène-glycol et propylène-glycol), 27 % dans l'air expiré sous forme de CO2, et moins de 3 % dans les fèces, dans les 48 heures suivant l'administration [13].
Chez l'Homme
De manière générale, les éthers de glycol sont rapidement absorbés et distribués dans l’organisme, après ingestion ou inhalation ; par voie cutanée, l’absorption est plus lente mais la distribution est tout aussi rapide. In vitro, le flux percutané du DPGME pur a été estimé à 106 µg/cm²/h à travers de la peau dermatomée humaine [14, 15].
Leur excrétion est principalement urinaire et dans l’air expiré, une faible proportion étant retrouvée dans les fèces [16].
Le métabolisme des éthers de glycol se déroule en premier lieu dans le foie via les monooxygénases ; les voies métaboliques majeures sont les mêmes que celles décrites chez l’animal (Cf Fig 1).
Toxicité expérimentaleToxicité aiguë [1, 18]
D’après les données disponibles, la toxicité aiguë du DPGME est faible ; à fortes doses, une dépression du système nerveux central est toutefois observée. Le DPGME est un irritant oculaire léger et est non irritant pour la peau.
Par voie orale, la DL50 est de 5,2 g/kg pc, chez le rat mâle et femelle ; par voie cutanée, la DL50 est de 9,5 g/kg chez le lapin ; par inhalation, la CL50 est supérieure à 4 mg/l chez le rat (4 heures).
Des rats exposés à 500 ppm (3100 mg/m3) pendant 7 heures présentent de légers signes de narcose, qui disparaissent rapidement.
Suite à l’application unique de la substance non diluée sur la peau de lapins (5 à 20 ml/kg pc), de légers signes de narcose transitoires sont rapportés à 20 ml/kg pc, ainsi qu’une perte de poids passagère à toutes les doses.
Irritation, sensibilisation
L’instillation d’une goutte de DPGME dans l’œil de lapin (1 fois/jour, 5 jours) entraine une irritation transitoire de la conjonctive. Suite à l’application unique de la substance non diluée sur la peau de lapins (5 à 20 ml/kg pc), aucune irritation n’est rapportée [18].
Toxicité subchronique, chronique [17, 19]
L’exposition répétée au DPGME est à l’origine d’une narcose plus ou moins prononcée selon la voie d’exposition et de légères atteintes hépatiques ; par voie cutanée, l’application de fortes doses de DPGME chez le lapin est mortelle.
Chez le rat, l’ingestion de 0-40-200 ou 1000 mg/kg pc pendant 4 semaines induit une salivation importante immédiatement après l’administration et une augmentation du poids du foie associée à des modifications histologiques (hypertrophie centro-lobulaire) à la plus forte dose. Les effets hépatiques persistent chez les mâles pendant la période de récupération [17].
L’inhalation répétée de DPGME (300 ppm, 7 h/j, 5 j/sem, 26 à 31 sem) est à l’origine d’une légère narcose durant les premières semaines d’exposition, transitoire, et d’une faible augmentation du poids du foie chez le rat (mâle et femelle), et d’atteintes hépatiques légères chez les femelles cochons d’Inde, les lapins et les singes (granulation du cytoplasme et présence de vacuoles) [18]. Dans une étude plus récente, aucun signe de toxicité n’est observé chez les rats et les lapins exposés à des doses inférieures, moins longtemps (15-50-200 ppm, 6 h/j, 5 j/sem, 90 jours) [20].
L’application de 0-950-2850-4750 ou 9500 mg/kg pc de DPGME sur la peau rasée de lapins (semi-occlusif, 5 fois/sem, 90 jours) entraine narcose et décès des animaux exposés aux deux plus fortes doses ; aucun effet n’est observé dans les tissus examinés, dont les reins [18].
Effets génotoxiques [21]
D’après les données disponibles in vitro, le DPGME ne présente pas de potentiel génotoxique.
In vitro
Les tests d’Ames sur S. typhimurium donnent des résultats négatifs, avec et sans activation métabolique.
Différents tests réalisés sur cellules de mammifères, avec et sans activation métabolique, ont aussi donné des résultats négatifs (analyse cytogénétique sur cellules ovariennes de hamster chinois, aberration chromosomique sur cellules pulmonaires ou ovariennes de hamster chinois) [21].
In vivo
A la date de publication de cette fiche (2024), aucune donnée n’est disponible in vivo pour le DPGME.
Effets cancérogènes
Aucune donnée n’est disponible chez l’animal à la date de publication de cette fiche toxicologique (2024)
Effets sur la reproduction [1, 22, 23]
Plusieurs études, réalisées sur différentes espèces et par différentes voies d’exposition, suggèrent l'absence d'effet sur la reproduction et sur le développement du DPGME.
Fertilité
Aucun effet sur le poids ou l’histopathologie des organes reproducteurs mâles et femelles n'est observé, chez tous les animaux exposés par inhalation pendant 13 semaines (rats et lapins, 0, 15, 50 et 200 ppm, 6 h/j, 5 j/sem) [20].
Il en est de même chez des rats exposés pendant 4 semaines, par gavage (0, 40, 200 et 1 000 mg/kg pc/j) ou par voie cutanée (0, 100 et 1 000 mg/kg, 6 h/j, 5 j/sem) [23, 24].
Développement
Breslin et al. ont exposé par inhalation des rats et des lapins à un mélange commercial de DPGME (0, 50, 150 et 300 ppm, 6 h/j, du 6e au 15e jour de gestation chez le rat et du 7e au 19e jour de gestation chez le lapin) [25]. Les auteurs n'ont observé ni toxicité maternelle, ni effet embryotoxique, fœtoxique ou tératogène pour les deux espèces.
Toxicité sur l’HommeLe DPGME est irritant pour les muqueuses oculaire et respiratoire. Une exposition à forte dose peut engendrer une dépression du système nerveux central. Il n’y a pas de données disponibles chez l’Homme concernant d'éventuels effets chroniques, notamment des effets génotoxiques, cancérogènes ou sur la reproduction.
Toxicité aiguë
Une étude ancienne réalisée chez des volontaires ne rapporte aucun signe d’irritation ou de sensibilisation cutanée après application de patchs contenant du DPGME non dilué (2 protocoles différents : le premier consistant en 10 applications de 4 à 8 heures, 1 jour sur 2, puis 3 semaines plus tard une nouvelle application de 24 à 48 heures, le second consistant en une application continue pendant 5 jours suivie 3 semaines plus tard d’une nouvelle application de 48 heures) [18].
Dans une autre étude ancienne réalisée chez 10 volontaires, l’instillation oculaire d’une goutte de DPGME concentré à 20 % a été suivie de signes d’irritation oculaire (brève sensation de picotement, larmoiements, blépharospasme, légère hyperhémie conjonctivale) et d’une augmentation transitoire de la tension intraoculaire, réversibles en 2 heures au plus [26].
Les vapeurs de DPGME sont irritantes pour les yeux et les voies respiratoires [27].
En cas d’exposition à forte dose, des symptômes de dépression du système nerveux central pourraient apparaître (céphalée, vertige, somnolence) [27].
Toxicité chronique
Aucune donnée n’est disponible chez l’Homme à la date de publication de cette fiche toxicologique (2024)
Effets génotoxiques
Aucune donnée n’est disponible chez l’Homme à la date de publication de cette fiche toxicologique (2024)
Effets cancérogènes
Aucune donnée n’est disponible chez l’Homme à la date de publication de cette fiche toxicologique (2024)
Effets sur la reproduction
Aucune donnée n’est disponible chez l’Homme à la date de publication de cette fiche toxicologique (2024)
Cohérence des réponses biologiques chez l'Homme et l'animal