Pathologie - Toxicologie
-
Toxicocinétique - Métabolisme
L’octaméthylcyclotétrasiloxane est légèrement absorbé par voies orale et inhalatoire (environ 10 %) et peu par voie cutanée. Il se distribue dans tout l’organisme, préférentiellement dans le tissu adipeux, et est éliminé, sous forme métabolisée, dans l’urine et l’air expiré.
Chez l'animal
Absorption
L’absorption orale de l’octaméthylcyclotétrasiloxane (300 mg/kg) chez le rat femelle est fortement influencée par le véhicule utilisé (environ 28 % pur, 52 % dans l’huile de maïs) [3, 4].
Après une exposition par inhalation (rat femelle, nez seul, 700 ppm, 6 h/j, pendant 14 jours + 14C]-octaméthylcyclotétrasiloxane au 15e jour), les animaux retiennent 6 à 8 % des molécules radiomarquées. La concentration maximale est atteinte en 1 et 3 h dans le sang et le plasma, respectivement, et 12 h après l’exposition dans le tissu adipeux, qui contient la plus forte concentration pendant 48 h [4, 10].
L’absorption cutanée est difficile à mesurer du fait de la grande volatilité de la substance; des études in vivo chez le rat montrent une absorption d’environ 0,7 % de la dose en semi-occlusion. L’absorption cutanée à travers la peau humaine in vitro (transplantée en sous-cutané sur la souris nude) varie de 0,5 à 1 % ; il reste 0,02 % dans la peau après 72 h, la majorité s’étant évaporée au site d’application [11a, 20].
Distribution
Après exposition orale ou inhalatoire, l’octaméthylcyclotétrasiloxane se distribue dans tous les tissus, avec une préférence pour le tractus respiratoire et le tissu adipeux, et est éliminé avec une demi-vie d’élimination de 68 h dans le plasma, 154 h dans la peau et 273 h dans les testicules [4].
Après exposition cutanée, malgré les propriétés lipophiles de l’octaméthylcyclotétrasiloxane, aucune accumulation significative n’a été observée dans le tissu adipeux de la peau (10 % de la dose absorbée dans le tissu adipeux sous-cutané) ; la faible quantité détectée dans la peau se situe essentiellement dans l’épiderme (61 %) et le derme [20].
Métabolisme
Il existe une différence de métabolisation entre les souches (les rats Fisher métabolisent de façon plus extensive l’octaméthylcyclotétrasiloxane que les rats Sprague-Dawley) ; dans une même souche, les mâles semblent mieux transformer l’octaméthylcyclotétrasiloxane que les femelles.
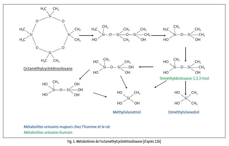
La molécule subit une coupure et une déméthylation, ce qui conduit à 2 métabolites majeurs (75-85 % des composés éliminés) : le diméthylsilanediol et le méthylsilanetriol (voir fig. 1). Des métabolites mineurs intermédiaires ont été identifiés [11b].
Schéma métabolique

Excrétion
Après exposition orale, l’excrétion est essentiellement fécale; la durée du transit intestinal varie selon le véhicule utilisé.
Après exposition par inhalation, la majeure partie des molécules radiomarquées absorbées est éliminée dans l’air expiré (26-35 % dont 2-4,5 % sous forme de CO2) et l’urine (37-40 %) ; 13-19 % sont excrétés dans les fèces et 6,5-10 % restent dans la carcasse après 168 h. Il n’y a pas d’excrétion urinaire de la molécule parentale. Suite à la différence de métabolisation, les rats Fischer 344 femelles excrètent des métabolites urinaires plus diversifiés (en général déméthylés) que les rats Sprague-Dawley [4, 10]. À forte concentration, l’excrétion dans l’air expiré augmente et celle dans les fèces diminue suggérant une saturation enzymatique.
Après exposition cutanée, le rat excrète 42 % des molécules absorbées dans l’air expiré et 49 % dans l’urine et les fèces [20].
Chez l'Homme
Des volontaires, exposés par inhalation à 10 ppm (122 µg/L) de [14C]-octaméthylcyclotétrasiloxane pendant 1 h et soumis à un exercice intermittent, absorbent au niveau sanguin environ 10 % de la quantité ayant pénétré par voie respiratoire. Une élimination respiratoire rapide de 24 % de la dose absorbée est observée. Les dosages et les mesures de radioactivité plasmatiques et sanguins, immédiatement après l’exposition, révèlent un pic moyen de 79 ± 5 ng/g et indiquent une clairance sanguine rapide non linéaire ; les métabolites persistent plus longtemps et sont encore présents 24 h après l’exposition. Le taux de radioactivité sanguine après 24 h correspond à 12 % de la valeur mesurée après 1 h. Environ 25-30 % des molécules radiomarquées absorbées sont excrétés dans les urines sous forme de métabolites identiques à ceux du rat ainsi que d’un métabolite supplémentaire, le triméthyldisiloxane-1,3,3-triol [21] (voir fig. 1).
Le pic sanguin de molécules radiomarquées est mesuré 1 h après application de [13C]-octaméthylcyclotétrasiloxane par voie cutanée sous les aisselles (1,4 g pour les hommes et 1 g pour les femmes) ; la concentration sanguine chute rapidement dans les heures qui suivent. Les femmes ont un taux d’octaméthylcyclotétrasiloxane plasmatique et sanguin plus élevé que les hommes. L’excrétion de [13C]-octaméthylcyclotétrasiloxane apparaît dans l’air expiré dès la première heure [11c].
Toxicité expérimentaleToxicité aiguë [3]
L’octaméthylcyclotétrasiloxane est très peu toxique pour l’animal, en exposition aiguë ; il n’est ni irritant ni sensibilisant.
L’octaméthylcyclotétrasiloxane n’est pas toxique pour l’animal ; les DL50s chez le rat sont : > 5000 mg/kg par voie orale et > 4640 mg/kg par voie cutanée. La CL50 par inhalation est de 36 mg/L. Aucun symptôme de toxicité n’a été observé.
Il n’est pas irritant pour la peau ou les yeux du lapin ni sensibilisant pour le cobaye.
Toxicité subchronique, chronique
En expositions répétées à fortes doses ou concentrations, l’octaméthylcyclotétrasiloxane induit une hypertrophie réversible du foie, des modifications ovariennes et une légère irritation du tractus respiratoire après inhalation.
Après une exposition orale répétée (0-25-100-400-1600 mg/kg/j, 5 j/sem, 2 sem ou 0-2000 mg/kg/j, 5 j/ sem, 4 sem), le rat présente une légère baisse de prise de poids et une augmentation de poids du foie.
Par inhalation (0-2,78-5,13-13,25 mg/L soit 0-231-426-1100 ppm, 6 h/j, 5 j/sem, 4 sem), on observe, chez le rat, une baisse de prise de nourriture et de poids, une irritation du tractus respiratoire, une augmentation de poids du foie et des surrénales et une baisse de poids du thymus ; l’examen histologique met en évidence une atrophie du thymus, une vacuolisation des surrénales, une hyperplasie et une hypertrophie du foie ainsi qu’une diminution du nombre de corps jaunes dans les ovaires. L’augmentation de poids du foie, liée à la dose est réversible à l’arrêt du traitement et serait due à l’induction d’enzymes hépatiques, notamment des cytochromes (réponse adaptative du foie) [11b]. Une exposition prolongée (0-35-123-491-902 ppm, 6 h/j, 5 j/sem, 13 sem) induit les mêmes effets ainsi qu’une légère baisse réversible du poids et de l’activité des ovaires.
Chez la souris et le hamster, l’exposition à l’octaméthylcyclotétrasiloxane (697 ppm, 6 h/j, 7 j/sem, 4 sem) n’induit qu’une augmentation de poids du foie; chez le lapin (0-96-190-960 ppm, 5 fois/sem, 3 sem), aucun signe de toxicité ou aucun effet clinique n’a été observé. La sensibilité à l’induction de l’hépatomégalie varie selon l’espèce, avec par ordre décroissant rat > souris > hamster > cobaye > lapin ; l’induction enzymatique est minimale chez le cobaye et le lapin [11d].
Effets génotoxiques [3, 4]
L’octaméthylcyclotétrasiloxane n’est pas génotoxique dans les tests pratiqués in vitro ou in vivo.
In vitro, les tests effectués donnent en général des résultats négatifs (test d’Ames, test de mutagenèse sur cellules de lymphome de souris, mesure des lésions et de la réparation de l’ADN sur E. coli et cellules de lymphome de souris, test cytogénétique sur cellules ovariennes de hamster chinois, mesure de l’induction des aberrations chromosomiques et des échanges entre chromatides sœurs sur cellules de lymphome de souris). Ces deux derniers tests donnent des résultats ambigus (positifs à une dose cytotoxique en présence d’activateurs métaboliques).
In vivo, les résultats obtenus dans les tests pratiqués, létalité dominante chez le rat (100-500-1000 mg/kg/j) et cytogénétique dans la moelle osseuse du rat (0-700 ppm, 6 h/j, 5 jours), sont également négatifs.
Effets cancérogènes
Une exposition à long terme à l’octaméthylcyclotétrasiloxane n’augmente pas le taux de tumeurs malignes chez le rat.
Des rats exposés pendant 2 ans à l’octaméthylcyclotétrasiloxane (0-10-30-150-700 ppm, 6 h/j, 5 j/sem), présentent, à la plus forte concentration, une hyperplasie nasale des cellules caliciformes et de l’épithélium squameux accompagnée de rhinites suppuratives, une augmentation du poids des reins et de la sévérité de la néphropathie chronique, une augmentation du poids de l’utérus ainsi que de l’hyperplasie et du taux d’adénomes bénins de l’endomètre [13]. Les études du mode d’action ont montré que l’octaméthylcyclotétrasiloxane modifie le taux de prolactine au travers d’une interaction spécifique avec les récepteurs dopaminergiques. Cet effet n’est pas considéré comme transposable à l’homme.
Effets sur la reproduction
L’octaméthylcyclotétrasiloxane, après exposition à fortes concentrations, est toxique pour la fertilité des rats femelles mais pas des mâles. Il ne modifie pas le développement des fœtus et n’est pas tératogène.
Fertilité [14, 22]
Chez le rat femelle, l’octaméthylcyclotétrasiloxane à forte concentration (environ 700 ppm, 6 h/j) induit une augmentation de la durée du cycle ovarien, une baisse du nombre de corps jaunes et de légères modifications histologiques de l’utérus, du vagin et des glandes mammaires. Après accouplement, on observe une diminution du nombre de sites d’implantation, du nombre moyen de petits par portée et de la durée de vie moyenne des petits ainsi qu’une augmentation des pertes pré- et post-implantatoires. Les effets toxiques parentaux apparaissent chez les femelles à 300 ppm et chez les mâles à 500 ppm. Les effets sur la fertilité se manifestent uniquement si les femelles sont exposées pendant toute la période de fertilisation (3 jours avant l’accouplement jusqu’au 3e jour de gestation) et sont réversibles à l‘arrêt de l’exposition ; ils seraient dus, après exposition à forte concentration (700 ppm, 6 h), à une diminution d’amplitude ou à un décalage du pic de décharge ovulante (hormone lutéinisante ou LH) diminuant le taux d’ovulation. Il existe une différence de susceptibilité d’un animal à l’autre. L’octaméthylcyclotétrasiloxane n’a pas d’effet sur la fertilité des mâles.
Développement [3, 11]
Il n’y a pas d’effet sur le développement du rat exposé par inhalation (0-10-100-300-700 ppm, 6 h/j, du 6e au 15ejour de gestation) ou du lapin (gavage, 0-50-100-500-1000 mg/kg/j, du 7e au 19e jour de gestation, ou inhalation 0-10-100-300-700 ppm, 6 h/j du 6e au 18e jour de gestation). La NOAEL pour la toxicité maternelle est > 50 mg/kg/j par voie orale chez le lapin ; elle est de 300 ppm par inhalation pour le rat et le lapin.
Toxicité sur l’Homme [3, 15, 23]Il n’existe pas de données lors d’expositions professionnelles aiguës ou chroniques à l’octaméthylcyclotétrasiloxane.
Toxicité aiguë
Le seul élément retrouvé est une étude sur 12 volontaires exposés à 10 ppm d’octaméthylcyclotétrasiloxane pendant 1 heure ; 3 mois après ils ont été réexposés aux mêmes concentrations d’octaméthylcyclotétrasiloxane. Des bilans sanguins généraux mais également orientés sur la recherche d’anomalies immunologiques ou de type inflammatoire pulmonaire (ionogramme, bilans hépatique et rénal, numération formule sanguine, numération des sous-populations lymphocytaires, dosage de cytokines diverses, tests fonctionnels sur cellules mononucléées) ont été réalisés avant, immédiatement, 6 et 24 h après la 2e exposition. Aucun symptôme d’irritation pulmonaire, aucune anomalie des épreuves fonctionnelles respiratoires, ni aucune anomalie biologique n’a été observée. Aucun effet immunotoxique ou inflammatoire pulmonaire lié à l’exposition à l’octaméthylcyclotétrasiloxane n’a été mis en évidence.
Effets génotoxiques
Il n’existe aucune donnée publiée.
Effets cancérogènes
Il n’existe aucune donnée publiée.
Effets sur la reproduction
Il n’existe aucune donnée publiée.
Cohérence des réponses biologiques chez l'Homme et l'animal