Généralités
Substance(s)
| Formule | Nom | Famille chimique | Numéro CAS | Numéro CE | Numéro index | Synonymes |
|---|---|---|---|---|---|---|
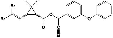
C22H19Br2NO3 |
Deltaméthrine | 52918-63-5 | 258-256-6 | 607-319-00-X | (1R, 3R)-3-(2,2-Dibromovinyl)-2,2-diméthylcyclopropanecarboxylate de (S)-α-cyano-3-phénoxybenzyle |
Formule chimique

Étiquette(s)
Deltaméthrine
Danger
- H301 - Toxique en cas d'ingestion
- H331 - Toxique par inhalation
- H410 - Très toxique pour les organismes aquatiques, entraîne des effets néfastes à long terme
Nota : Les conseils de prudence P sont sélectionnés selon les critères de l'annexe 1 du réglement CE n° 1272/2008.
258-256-6
Selon l’annexe VI du règlement CLP.
ATTENTION : pour les mentions de danger H301 et H331, se reporter à la section "Réglementation".