Pathologie - Toxicologie
-
Toxicocinétique - Métabolisme [14, 15]
L’alcool furfurylique est bien absorbé dans l’organisme par toutes les voies d’exposition ; il se distribue essentiellement dans le foie et les reins, est transformé en 2-furoylglycine et est éliminé dans l’urine.
Chez l'animal
Absorption
Les données de toxicologie expérimentale démontrent que l’alcool furfurylique peut pénétrer dans l’organisme par les voies digestive, respiratoire et cutanée. L’absorption gastro-intestinale représente au moins 86 à 89 % des doses administrées par voie orale (0,275 - 2,75 - 27,5 mg/kg) chez le rat.
Distribution
Après absorption gastro-intestinale de 14C-alcool furfurylique, les plus fortes quantités de molécules radiomarquées sont mesurées dans le foie et les reins du rat, les plus faibles dans le cerveau[16].
Métabolisme
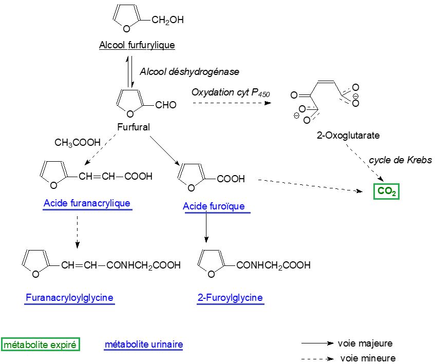
Les voies de biotransformation de l’alcool furfurylique sont relativement bien connues chez le rat (voir fig. 1). La voie majeure, après administration orale, est une oxydation en furfural, puis en acide furoïque qui est conjugué avec la glycine et éliminé. Une voie mineure mène à l’acide funacrylique qui est également éliminé sous forme de conjugué avec la glycine. Une excrétion de CO2 dans l’air expiré a été montrée chez le rat et la souris. La formation de CO2 nécessite soit l’ouverture de la molécule en 2-oxo-glutarate qui, par l’intermédiaire du cycle de Krebs, est dégradé en CO2, soit une décarboxylation de l’acide furoïque.
Schéma métabolique

Fig.1 Métabolisme de l’alcool furfurylique.
Excrétion
L’urine est la voie majeure d’élimination chez le rat et la souris (83 - 88 % de la dose administrée), 2 à 4 % sont éliminés dans les fèces ou expirés sous forme de CO2. La 2-furoylglycine est le métabolite urinaire majeur (73 - 80 %) ; l’acide furoïque (1 - 6 %, après exposition à forte dose uniquement), l’acide furanacrylique (3 - 8 %) et la furanacryloylglycine sont des métabolites mineurs.
Chez l'Homme
Le schéma métabolique est semblable chez l’Homme ; cependant les études ont été menées avec une exposition au furfural et non à l’alcool furfurylique. Après exposition aux vapeurs de furfural pendant 8 heures, la rétention pulmonaire moyenne est de 77,9 %. Les métabolites urinaires sont la furoylglycine (en majorité) et l’acide furanacrylique ; l’acide furoïque n’a pas été détecté.
Après exposition cutanée aux vapeurs de furfural pendant 8 heures, l’absorption est de 20 à 30 % de la dose retenue dans les poumons lors d’une exposition identique. Une exposition cutanée au liquide (immersion d’une main pendant 15 minutes) engendre une absorption identique à celle d’une exposition par inhalation à 10 mg/m3 pendant 8 heures[15].
Toxicité expérimentaleToxicité aiguë
En exposition aiguë, l’alcool furfurylique est essentiellement un irritant respiratoire et un irritant oculaire modéré ; c’est un allergène faible.
Après exposition par inhalation (65 - 125 - 250 ppm), les animaux manifestent une détresse respiratoire, une irritation oculaire (yeux rouges, exophtalmie, larmes) et nasale (rhinorrhée) et des signes neurologiques (léthargie après une phase initiale d’excitation) aux concentrations létales. L’autopsie des survivants ne révèle aucune atteinte en dehors d’une inflammation des cornets du nez accompagnée d’une nécrose et d’une métaplasie squameuse de l’épithélium respiratoire et d’une nécrose de l’épithélium olfactif [17].
Après application cutanée, les seuls signes de toxicité, observés chez le lapin, sont des convulsions [18].
Voie Espèce DL50/CL50 -
Inhalatoire
-
Rat
-
Rat
-
Rat
-
Souris
-
592 ppm/1 h
-
233 ppm/4 h
-
85 ppm/6 h
-
397 ppm/6 h
-
Orale
-
Rat
-
Souris
-
132-275 mg/kg
-
160 mg/kg
-
Cutanée
-
Rat
-
Souris
-
Cobaye
-
Lapin
-
3825 mg/kg
-
4920 mg/kg
-
> 8500 mg/kg
-
400-657 mg/kg
Tableau I : Toxicité aiguë de l'alcool furfurylique[19, 20]
Irritation - Sensibilisation
L’alcool furfurylique est un irritant respiratoire chez l’animal.
Localement, il n’est pas irritant pour la peau du chien et faiblement irritant pour la peau du cobaye ; cependant des applications quotidiennes d’une solution à 50 % dans l’acétone entraînent, après 12 jours de traitement, sécheresse, hyperémie, desquamation et nécrose de la peau [21].
L’irritation oculaire est modérée chez le lapin pour une instillation de 0,02 mL de liquide (réversible en 2 à 8 jours) et sévère pour une instillation de 0,05 mL (inflammation de la conjonctive, gonflement des paupières, opacité de la cornée ; réversible en 40 à 64 jours). Une exposition du rat à la vapeur saturée (700 ppm) provoque, après 8 minutes, une rougeur oculaire ; une exposition répétée à 19 ppm n’induit aucune irritation chez le rat ou la souris[21].
Chez la souris, l’alcool furfurylique est à l’origine d’une sensibilisation cutanée : plusieurs essais de stimulation locale des ganglions lymphatiques ont donné des résultats positifs [1].
Toxicité subchronique, chronique [9]
En exposition prolongée ou répétée, l’alcool furfurylique induit essentiellement des lésions nasales, hépatiques et rénales.
Chez le rat et la souris, exposés par inhalation pendant 16 jours (0 - 127 - 257 - 510 - 1 020 mg/m3, 6 h/j, 5 j/semaine), on observe : létalité aux deux plus fortes concentrations, baisse de poids, dyspnée, hypoactivité, écoulement nasal et oculaire (> 257 mg/m3) et lésions de l’épithélium nasal respiratoire et olfactif, à toutes les concentrations. Une prolongation de l’exposition à 13 semaines augmente la sévérité des lésions de l’épithélium nasal (nécrose et métaplasie squameuse de l’épithélium respiratoire; nécrose et dégénérescence de l’épithélium olfactif). Une exposition pendant 2 ans (0 - 8 - 32 - 131 mg/m3) induit chez le rat, en plus de l’effet nasal, une toxicité rénale et, à la forte concentration, une hyperplasie des parathyroïdes et une ostéodystrophie fibreuse probablement liée aux effets rénaux. La souris femelle, exposée aux mêmes concentrations, présente une baisse de poids et développe une opacité cornéenne focale ; chez le mâle, on observe des lésions rénales dont la sévérité est liée à la concentration [17].
Lors d’une exposition par voie orale (0 - 38 - 75 - 150 - 300 - 600 mg/kg, gavage, 13 semaines), la létalité apparaît à 150 mg/kg chez le rat et 300 mg/kg chez la souris. Les rats recevant des doses ≥ 75 mg/kg présentent une baisse de poids ainsi que des lésions modérées du foie et des reins (dégénérescence des hépatocytes et des cellules épithéliales tubaires du cortex rénal). Chez les souris, on observe des lésions identiques mais plus sévères (avec nécrose) à des doses quotidiennes ≥ 300 mg/kg.
Effets génotoxiques [15]
Les résultats obtenus in vitro et in vivo donnent des réponses variables selon les tests réalisés.
In vitro
- test d’Ames (avec et sans activation métabolique) négatif pour les souches TA 98, TA 100, TA 1535 et TA 1537 de Salmonella typhimurium ;
- induction d’aberrations chromosomiques dans les cellules ovariennes de hamster chinois, équivoque avec activateurs métaboliques, négatif sans activateurs métaboliques ;
- induction d’échanges entre chromatides sœurs dans les cellules ovariennes de hamster chinois, positif sans activateurs métaboliques, négatif avec activateurs métaboliques ;
- induction d’échanges entre chromatides sœurs dans les lymphocytes humains, négatif sans activateurs métaboliques [22].
In vivo
- induction de micronoyaux dans la moelle osseuse de souris (125 mg/kg, ip, 3 injections), négatif ;
- induction de micronoyaux, d’échanges entre chromatides sœurs et d’aberrations chromosomiques dans la moelle osseuse de souris (300 mg/kg, ip, 1 seule injection), négatif ;
- induction d’aberrations chromosomiques et d’échanges entre chromatides sœurs dans la moelle osseuse de souris (1000 - 2000 - 4000 ppm dans 0,5 ml d’eau par gavage, 1 fois ou pendant 5 jours consécutifs), positif à 4000 ppm en exposition unique ou répétée avec prélèvement à 18, 24 et 36 heures, positif à 2000 ppm en exposition unique et prélèvement 18 heures[23, 24];
- induction de mutation létale récessive, drosophile, négatif [25] ;
- test des comètes, au niveau de l’estomac, du foie et des reins de souris (215 mg/kg/j pendant 3 jours, ip), négatif [1].
Par ailleurs, des adduits à l’ADN ont été mis en évidence chez la souris, dans plusieurs organes comme le foie, les reins ou le poumon, suite à des administrations par voie orale ou intrapéritonéale comprises entre 250 et 400 mg/kg pc [26].
Effets cancérogènes [15, 26]
L’alcool furfurylique induit l’apparition de tumeurs nasales et rénales, surtout chez les mâles.
L’exposition de rats et de souris des deux sexes (0 - 2 - 8 - 32 ppm, 6 h/j, 5 j/sem pendant 105 semaines) est associée à des lésions du nez et une augmentation de sévérité de la néphropathie. Les effets néoplasiques sont localisés chez le rat mâle au niveau de l’épithélium respiratoire du nez (adénomes, carcinomes ou carcinomes à cellules squameuses) et ne sont significativement augmentés qu’à la plus forte dose ; chez les femelles, l’incidence des adénomes des tubes rénaux dépasse les niveaux retrouvés pour les contrôles historiques.
Chez la souris mâle, une augmentation de l’incidence des tumeurs est observée au niveau des tubes rénaux (adénomes et carcinomes, tumeurs rares chez la souris mâle), significative à la plus forte concentration ; les femelles ne présentent pas de tumeur.
Effets sur la reproduction [15]
A la date de mise à jour de cette partie, aucune étude relative aux effets de l’alcool furfurylique sur la reproduction n’est disponible.
Toutefois, dans l’étude menée par le NTP, l’inhalation de vapeurs d’alcool furfurylique (32 ppm, pendant 2 ans) a entrainé une augmentation du nombre de spermatides et de têtes de spermatozoïdes par testicule.
Toxicité sur l’HommeChez l’Homme, en dehors d’effets irritants sur les muqueuses oculaire et nasale et d’une légère altération des fonctions respiratoires, aucune autre anomalie n’a été rapportée lors d’exposition à l’alcool furfurylique.
Toxicité aiguë [5, 16, 21]
Des études sur volontaires ont montré que l’ingestion de 40 à 150 mg d’alcool furfurylique ne provoquait chez l’Homme aucune atteinte clinique ou biologique.
En milieu professionnel, les données proviennent de deux études déjà anciennes réalisées dans des fonderies ; dans cet environnement, des co-expositions sont également retrouvées, notamment à l’aldéhyde formique, ce qui ne permet pas d’imputer au seul alcool furfurylique tous les effets observés. Dans le premier cas, aucun effet n’est rapporté lorsque les salariés sont exposés à la concentration de 10 ppm (≈ 40 mg/m3). Une irritation sévère des yeux avec un abondant larmoiement est notée pour une exposition de 15,8 ppm (≈ 65 mg/m3) associé à 0,33 ppm (≈ 0,4 mg/m3) d’aldéhyde formique. Dans le second, les irritations respiratoires sont observées alors que la concentration moyenne est de 7 mg/m3 avec des pics supérieurs à 40 mg/m3.
Des phénomènes irritatifs respiratoires (douleurs pharyngées ou thoraciques, bronchite avec toux) ont été observés chez des travailleurs exposés à l’alcool furfurylique (concentration non précisée) lors de la fabrication de ciments résistant à la corrosion. La contribution de l’alcool furfurylique aux troubles observés est difficile à évaluer en raison de la multiplicité des expositions[27].
Les projections oculaires sont susceptibles d’entraîner une irritation sévère mais réversible sous traitement. Il n’y a pas de cas de sensibilisation respiratoire ou cutanée imputable au seul alcool furfurylique.
Toxicité chronique [5, 21]
Une sécheresse de la peau et des dermatoses ont été signalées à la suite de contacts cutanés répétés avec l’alcool furfurylique.
Âhman, en 1991, met en évidence chez un nombre réduit d’ouvriers d’une fonderie une légère anomalie des fonctions respiratoires. Dans cette entreprise où les concentrations moyennes d’exposition sont de 7 mg/m3 (pics d’exposition de plus de 40 mg/m3), l’auteur trouve une réduction de la capacité vitale forcée ; une co-exposition à la poussière est notée (< 2 mg/m3) et à l’aldéhyde formique (0,4 mg/m3). Aucune autre anomalie n’est signalée [28].
Cohérence des réponses biologiques chez l'Homme et l'animal