Pathologie - Toxicologie
-
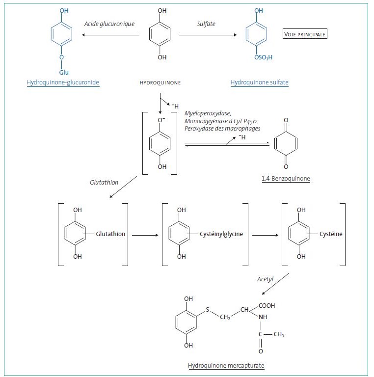
Toxicocinétique - Métabolisme [6, 12-14, 17]
L’absorption de l’hydroquinone est complète et rapide, chez l’animal, par voies orale et pulmonaire ; elle est partielle et plus lente par voie cutanée. Le métabolisme paraît très semblable chez l’Homme et l’animal ; les principaux métabolites éliminés dans l’urine sont des conjugués glucuronide et sulfate de l’hydroquinone.
Chez l'animal
Absorption
L’hydroquinone est rapidement et entièrement absorbée dans le tractus gastro-intestinal des animaux, le pic sanguin est atteint après 30 minutes. Après exposition du rat à de la 14C]hydroquinone par voie intratrachéale, l’absorption pulmonaire est très rapide, les molécules radiomarquées apparaissent dans le sang artériel en 5 à 10 secondes. L’absorption cutanée est lente mais elle augmente en présence d’alcool. In vitro, elle est deux fois plus rapide à travers la peau du rat (1,1 µg/cm2/h) qu’à travers le stratus corneum humain (0,52 µg/cm2/h).
Distribution
Après absorption, l’hydroquinone se distribue largement dans les tissus et est métabolisée dans le foie et le tractus gastro-intestinal en 1,4-benzoquinone et d’autres composés oxydés dont le 1,2,4-benzènetriol observé dans les urines de rat et de lapin exposés par voie intrapéritonéale (50 mg/kg). L’hydroquinone et ses métabolites sont détoxifiés par conjugaison en dérivés glucuronide, sulfate, mono- di- et tri-glutathion et mercapturiques (cf. Fig. 1).
Schéma métabolique

Fig. 1 : Métabolisme de l'hydroquinone [14]
Excrétion
Chez le rat, après exposition orale, 90 - 99 % de la dose absorbée sont éliminés dans l’urine sous forme glucurono-conjuguée et sulfo-conjuguée (respectivement 45 - 53 % et 19 - 33 % de la dose orale) ; le reste est composé de 0 - 5 % de mercapturates, environ 4 % de conjugués mono-, di- ou triglutathion, 0 - 3 % d’hydroquinone libre et moins de 1 % de 1,4-benzoquinone conjuguée. Dans les fèces, on retrouve 1 - 3 % de la dose administrée.
Chez l'Homme
Chez l’Homme, l’hydroquinone est absorbée rapidement par ingestion mais également par voie pulmonaire et par contact cutané.
Après ingestion de 200 mg d’hydroquinone, une excrétion urinaire sous forme conjuguée de 10 % de la quantité ingérée est démontrée ; aucune indication n’a été obtenue sur le sort du produit non retrouvé.
Chez les sujets non professionnellement exposés, des concentrations sanguines et urinaires d’hydroquinone ont été détectées (inférieures à 0,5 mg/L pour l’hydroquinone urinaire).
Mode d'actions
Les dérivés oxydés de l’hydroquinone se fixent sur divers composés biologiques comme les macromolécules (protéines et ADN), agissent sur le métabolisme cellulaire et contribuent à la toxicité.
Toxicité expérimentaleToxicité aiguë [1, 13]
L’hydroquinone provoque des modifications neurologiques et musculaires ; c’est une substance irritante et sensibilisante.

Toxicité aiguë de l’hydroquinone
Les symptômes d’une intoxication aiguë à l’hydroquinone sont, chez l’animal, des modifications neurologiques et musculaires, des tremblements, des convulsions et la mort en 2 heures après une détresse respiratoire ; à des doses sublétales, les animaux récupèrent en 3 jours.
L’hydroquinone en poudre n’est pas irritante dans les tests classiques sur la peau du rat, du cobaye ou du lapin ; en solution (> 10 %), elle est légèrement irritante (peu de tests). Des applications répétées à long terme induisent une décoloration de la peau (cobaye, crème contenant plus de 1 % d’hydroquinone, 1 mois) et une irritation légère à modérée (concentrations supérieures à 5 %). Appliquée en poudre dans l’œil du chien ou du cobaye, elle provoque une irritation immédiate et des larmoiements ; en solution à 2 %, elle engendre une irritation des paupières réversible en 24 heures. L’exposition à long terme peut provoquer une décoloration des paupières et des lésions de la cornée (œdème, opacité) réversibles en 3 jours après l’arrêt de l’exposition. En présence d’air et d’humidité, l’hydroquinone peut se transformer en 1,4-benzoquinone beaucoup plus irritante.
L’hydroquinone est sensibilisante pour le cobaye et la souris et photosensibilisante pour le cobaye ; elle provoque également des réactions de sensibilisation croisée avec le p-méthoxyphénol et le p-(benzyloxy)phénol.
Toxicité subchronique, chronique [13-16]
L’hydroquinone, en expositions répétées ou prolongées par voie orale, agit sur le système nerveux central des animaux et provoque une irritation du pré-estomac et des lésions rénales sévères (rat) et hépatiques (souris).
L’exposition par voie orale chez le rat et la souris (25 à 400 mg/kg/j, 13 sem) induit une létalité (≥ 200 mg/kg), une baisse de poids chez les rats mâles (≥ 100 mg/kg), une augmentation du poids relatif du foie (souris mâle), une irritation du pré-estomac (≥ 200 mg/kg, inflammation et hyperplasie), des effets sur le système nerveux (≥ 200 mg/kg, tremblements, réduction de l’activité) et des lésions rénales sévères (rat, ≥ 100 mg/kg, dégénérescence des cellules tubaires du cortex rénal).
À plus long terme, l’hydroquinone provoque, chez le rat (25 - 50 mg/kg/j, 5 j/sem, 2 ans), une augmentation du poids des reins ainsi qu’une néphropathie caractérisée par une dégénérescence/régénération de l’épithélium tubaire, une atrophie et une dilatation de quelques tubes, des cylindres hyalins, une glomérulosclérose, une fibrose interstitielle et une inflammation chronique. La sévérité des lésions dépend du sexe et de la souche autant que de la dose (plus importante chez les rats Fischer mâles à la forte dose).
Chez la souris (50 - 100 mg/kg/j, 5 j/sem, 2 ans), on observe, chez les mâles, des modifications morphologiques hépatiques (cellules multinucléées, anisokaryose, hyperplasie) liées à la dose et une hyperplasie des cellules folliculaires de la thyroïde et, dans les 2 sexes, une hyperplasie du pré-estomac.
Effets génotoxiques [14]
L’hydroquinone est mutagène in vitro dans de nombreux systèmes. In vivo, elle est clastogène pour la souris essentiellement après injection intrapéritonéale.
In vitro, l’hydroquinone avec ou sans induction métabolique :
- se fixe sur l’ADN et forme des adduits ;
- induit des mutations dans les cellules de mammifères, les levures et 2 souches uniquement de S. typhimurium (TA102 et TA104) ;
- provoque l’inhibition de la communication intercellulaire et la transformation morphologique des cellules de hamster ;
- déclenche des modifications de l’ADN (cassures, liaisons croisées) et des chromosomes (aneuploïdie, aberrations, échanges entre chromatides sœurs, micronoyaux) dans les cellules de mammifère en culture et les lymphocytes humains.
In vivo, elle se fixe à l’ADN (glande de Zymbal, foie, rate) du rat (voie orale, 150 mg/kg/j, 4 j), n’induit pas de mutations létales récessives liées au sexe chez la drosophile (1 500 ppm par injection) ni d’échanges entre chromatides sœurs dans la moelle osseuse de souris (120 mg/kg, voie intrapéritonéale [ip]). En revanche, elle est clastogène chez la souris :
- aberrations chromosomiques dans la moelle osseuse (75 mg/kg, ip), les spermatocytes et les spermatogonies (40 mg/kg, ip) ;
- micronoyaux dans la moelle osseuse (oral, 80 mg/kg ; ip, ≥ 20 mg/kg ; voie sous-cutanée, 50 mg/kg/j, 6 j) ;
- hyperploïdie dans la moelle osseuse et les spermatocytes (80 mg/kg, ip).
Effets cancérogènes [14]
Il y a une évidence limitée de la cancérogénicité de l’hydroquinone pour l’animal : par voie orale, elle induit des adénomes hépatocellulaires chez la souris et rénaux chez le rat.
L’hydroquinone a été testée pour sa cancérogénicité par voie orale chez la souris et le rat (gavage, 0 - 50 - 100 mg/kg/j, 5 j/sem, 103 sem; dans la nourriture, 0 - 0,8 % pendant 96 ou 104 sem respectivement). Chez la souris, elle induit des adénomes hépatocellulaires dans les deux sexes par gavage et, après exposition dans la nourriture, chez les mâles uniquement ; dans ce cas, les adénomes sont associés à une hypertrophie hépatique centrolobulaire et à une hyperplasie cellulaire du tube rénal et du pré-estomac. Chez le rat mâle, elle provoque des adénomes des cellules tubulaires rénales, localisés aux endroits où la néphropathie progressive chronique est la plus sévère ; chez la femelle, par gavage uniquement, elle augmente légèrement l’incidence des mononucléoses.
Par voie cutanée, l’hydroquinone n’est pas inductrice de cancers chez la souris (application de 0,3 mL d’une solution à 6,7 % dans l’acétone suivie, après 3 semaines, de 18 applications d’une solution à 0,5 % d’huile de croton pendant 18 semaines).
L’hydroquinone n’a pas d’activité promotrice de cancers dans la plupart des essais chez le rat ou le hamster ; seule une étude a montré une augmentation des cancers rénaux chez le rat après initiation avec la N-nitrosoéthyl-N-hydroxyéthylamine.
Effets sur la reproduction [12-14]
L’hydroquinone n’a pas d’effet sur la fertilité du rat par voie orale ; par voie sous-cutanée, elle arrête transitoirement le cycle œstral et la production de sperme. Elle traverse la barrière placentaire, mais n’est toxique pour le fœtus qu’à des doses toxiques pour les mères ; elle n’est pas tératogène.
Fertilité
Administrée par voie orale chez le mâle (rat ou souris), l’hydroquinone n’a pas d’effet sur la fertilité (0 - 400 mg/kg/j, 13 sem ; 0 - 100 mg/kg/j, 2 ans ; 150 mg/kg/j pendant 2 générations). Un test de létalité dominante chez des rats mâles (0 - 30 - 100 - 300 mg/kg/j par gavage, 5 j/sem, 10 sem), accouplés avec des femelles non traitées, ne montre pas d’effet sur la fertilité, la létalité dominante ou les paramètres de la reproduction chez les femelles. Chez la femelle, les résultats sont plus contradictoires: aucun effet sur la fertilité (0,003 et 0,3% dans la nourriture pendant 10 jours avant accouplement ou 150 mg/kg/j pendant 2 générations) n’est noté tandis qu’un arrêt du cycle en diœstrus à la dose létale (200 mg/kg/j, 14 j) est observé.
Administrée par voie sous-cutanée (sc.) chez le rat mâle (100 mg/kg/j pendant 51 j), l’hydroquinone diminue le poids des testicules, de l’épididyme, des vésicules séminales et des surrénales ; la fertilité est réduite de 33 % suite à un arrêt temporaire de la production de sperme. Chez les femelles (10 mg/j, sc. pendant 11 j), après une période d’induction de 3 jours, le cycle œstral est interrompu pendant 5 jours puis revient à la normale.
Développement
Des embryons en culture exposés à l’hydroquinone (< 0,5 mmol/L à partir du 10e jour) présentent des retards de croissance et des anomalies structurelles des pattes postérieures et de la queue.
Administrée par voie orale chez le rat, l’hydroquinone n’a pas d’effet toxique pour les mères aux doses inférieures à 200 mg/kg/j. À dose létale, elle induit une baisse de poids fœtal et une augmentation des résorptions mais pas de variation squelettique ou viscérale ni de malformation.
Chez le lapin, la toxicité maternelle apparaît à 150 mg/kg/j (gavage du 6e au 18e jour de gestation) ; à cette dose, il n’y a pas d’embryotoxicité mais une augmentation des variations squelettiques et viscérales.
L’hydroquinone (intubation gastrique de 80 mg/kg au 13e jour de gestation) induit, par voie transplacentaire, la formation de micronoyaux dans les cellules hépatiques fœtales chez la souris.
Toxicité sur l’HommeL'ingestion peut provoquer de graves lésions du tube digestif ainsi que des effets neurologiques et une hémolyse liée à une méthémoglobinémie. Irritante pour la peau, elle induit de graves lésions en cas de contact avec les yeux. Aucun effet systémique n'est rapporté suite à des expositions répétées, à l'inverse on note des réactions cutanées (irritative ou allergique) ainsi que des irritations des muqueuses oculaire et respiratoire. Les études publiées ne sont pas en faveur d'un effet cancérogène de l'hydroquinone. On ne dispose pas de donnée sur d'éventuels effets sur la fonction de reproduction.
Toxicité aiguë [6, 12, 17]
En milieu professionnel, les sujets sont principalement exposés par voies inhalatoire (poussières, fumées) et cutanée. Plusieurs cas d’intoxications domestiques lors d’ingestion accidentelle de produits contenant de l’hydroquinone ont été décrits.
Les signes les plus importants lors d’ingestion accidentelle sont d’abord des troubles digestifs liés à l’effet caustique du produit (brûlures bucco-oesophagiennes, douleurs abdominales et rétrosternales, nausées, vomissements, diarrhées), puis une atteinte systémique avec des troubles neuromusculaires (état d’excitation, torpeur, myoclonies, convulsions, voire coma) et surtout une méthémoglobinémie (cyanose, dyspnée...) pouvant se compliquer d’une hémolyse avec ictère, oligurie, anurie. Enfin, on peut observer une hypotension et une acidose métabolique.
Aucun effet systémique n’a été décrit lors d’inhalation aiguë de poussières d’hydroquinone.
L’hydroquinone exerce une action caustique en particulier sur les muqueuses oculaires : une exposition à des poussières peut provoquer des lésions kérato-conjonctivales importantes.
Le produit est irritant pour la peau. L’inhalation de vapeurs peut entraîner des irritations des muqueuses nasales, oculaires et respiratoires.
Toxicité chronique [1, 6, 12, 17, 19]
L’ingestion répétée de faibles quantités d’hydroquinone n’entraîne pas chez l’Homme d’effets systémiques : une étude ancienne et mal documentée chez des volontaires a montré que l’ingestion 3 fois par jour de 100 à 150 mg de produit (concentration en hydroquinone non connue) pendant 5 mois ne provoquait aucune anomalie hématologique ou urinaire.
Un cas d’hépatite toxique suspectée d’origine professionnelle, réversible à l’arrêt de l’exposition, est décrit par un auteur chez un salarié exposé à un produit de développement de radiographie à base de glutaraldéhyde et d’hydroquinone ; le rôle de l’hydroquinone dans l’apparition de cette hépatite est discuté[23].
Les affections les plus fréquemment observées à la suite d’expositions professionnelles sont oculaires ou cutanées.
Lors de la fabrication d’hydroquinone où l’exposition est souvent mixte (vapeurs et poussières), des atteintes oculaires ont été décrites (dans d’anciennes études) à type d’irritation modérée des yeux (photophobie, larmoiement, sensation de brûlure) dès 0,5 ppm voire de coloration brun-verdâtre des conjonctives et de la cornée. En cas d’exposition prolongée, on peut avoir des modifications de l’épaisseur de la cornée ou une pigmentation de celle-ci, des défauts de vision (astigmatisme) et une diminution de l’acuité visuelle. La sévérité de ces lésions oculaires, partiellement réversibles à l’arrêt de l’exposition, est proportionnelle à la durée d’exposition et à la concentration atmosphérique du polluant [12, 19].
Lors d’expositions professionnelles ou lors d’utilisations domestiques de produits cosmétiques contenant de l’hydroquinone, le produit pur ou même dilué à plus de 2 % peut provoquer par contact cutané des dermatoses de type irritatif ou des réactions allergiques, à type d’eczémas (patchs tests réalisés avec de l’hydroquinone dilué à 1 % dans l’eau ou la vaseline). En outre, lors d’application de crèmes éclaircissantes à plus de 2 % d’hydroquinone, plusieurs cas de dépigmentation de la peau (ou vitiligo), réversible ou définitive selon la durée du contact, ont été décrits. Quelques cas de vitiligo chez des sujets exposés professionnellement une dizaine d’années à des produits de développement de radiographies contenant de l’hydroquinone sont rapportés[18, 22].
Chez 33 salariés exposés à de l’hydroquinone, de la rétinène-hydroquinone et de la triméthyl-hydroquinone, comparés à 55 contrôles non exposés, une prévalence accrue de symptômes respiratoires (toux, dyspnée) est notée ; une dyspnée intermittente et une broncho-constriction réversible ainsi que des augmentations des taux des immunoglobulines G ont été observées de façon plus fréquente chez les salariés exposés comparés aux témoins ; étant donné la co-exposition à la triméthyl-hydroquinone plus réactive que l’hydroquinone, le rôle exact de l’hydroquinone dans l’apparition de ces symptômes ne peut être clairement défini[21].
Plusieurs études de mortalité ont été réalisées chez des salariés de l’imprimerie (utilisant des révélateurs pour photographie contenant de l’hydroquinone). Dans une étude américaine de cohorte parmi 879 salariés exposés pendant 13,7 ans en moyenne à l’hydroquinone, entre 1942 et 1990, à des concentrations de 0,1 et 6 mg/m3 pour les poussières et 0,1 à 0,3 mg/m3 pour les vapeurs, aucun excès de cancers (tous cancers confondus et par site spécifique) n’est noté (RR < 1). Dans une autre étude de cohorte danoise, chez 837 salariés de la lithographie, aucun excès de cancers (tous cancers confondus) (RR = 0,9) n’est signalé parmi les 150 sujets exposés à l’hydroquinone entre 1974 et 1989 (latence moyenne de 22 ans) mais un excès de mélanomes malins (5 cas dont 2 exposés à l’hydroquinone) a été retrouvé (RR = 3,4) ; les sujets étant polyexposés (pigments, solvants, rayonnements UV...), il est difficile de préciser le rôle éventuel de l’hydroquinone dans l’apparition de ces cancers [14, 20, 24].
Cohérence des réponses biologiques chez l'Homme et l'animal