Pathologie - Toxicologie
-
Toxicocinétique - Métabolisme
Le tétrahydronaphtalène est absorbé par inhalation, ingestion et contact cutané. Il est rapidement métabolisé et éliminé essentiellement sous forme conjuguée dans les urines.
Chez l'animal
Métabolisme
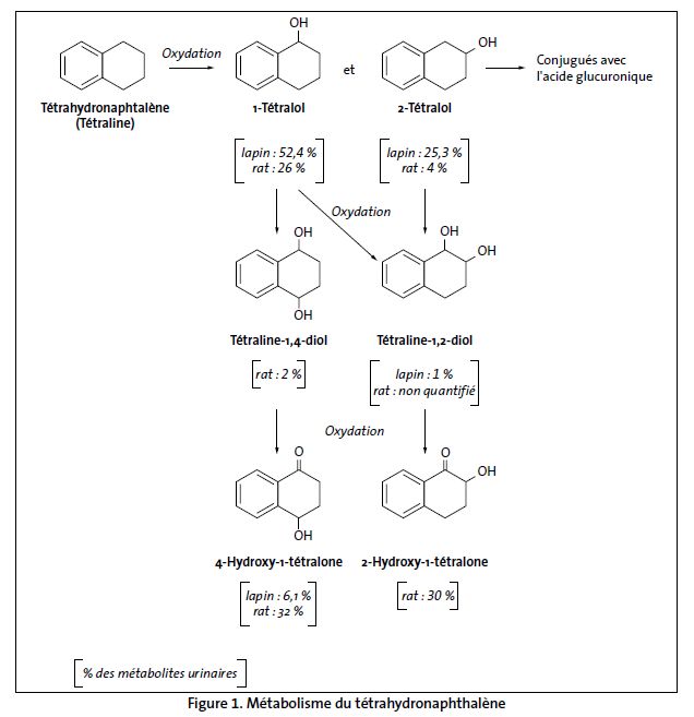
Chez l’homme comme chez l’animal, le tétrahydronaphtalène est métabolisé, dans le foie, par oxydation enzymatique sur le cycle aliphatique selon la figure 1.
Schéma métabolique

Excrétion
Le 1-tétralol (1,2,3,4-tétrahydro-1-naphtalénol) et le 2- tétralol (1,2,3,4-tétrahydro-2-naphtalénol), ainsi que leurs conjugués, ont été identifiés comme métabolites urinaires principaux chez l’homme ; ils seraient responsables de la coloration brun-vert de l’urine.
Le tétrahydronaphtalène et ses métabolites sont rapidement éliminés dans l’urine: il n’y a pas d’accumulation même après exposition répétée. Après administration de 14C-tétrahydronaphtalène à des lapins, 87-90 % des molécules radiomarquées sont éliminées dans l’urine en 48 heures; les fèces contiennent 0,6-1,8 % de la dose, aucune radioactivité n’a été mesurée dans l’air expiré et des quantités négligeables restent dans la carcasse.
Toxicité expérimentaleToxicité aiguë [5, 7, 10]
Les études chez l’animal indiquent une faible toxicité aiguë avec des DL 50 de 2 860 mg/kg par voie orale chez le rat et 16 710 mg/kg par voie cutanée chez le lapin. L’effet principal est une irritation de la peau, des yeux et des muqueuses; le tétrahydronaphtalène n’est pas sensibilisant pour le cobaye dans le test de maximisation.
Toxicité subchronique, chronique [5, 7, 10, 11]
L’exposition répétée au tétrahydronaphtalène provoque, à forte dose, une dépression du système nerveux central, des lésions hépatiques et rénales partiellement associées à la formation d’une cataracte et une modification de l’apparence de l’urine et du sang.
Les effets d’une exposition répétée sont variables selon l’espèce animale :
- chez le rat mâle (0,5 ml/kg tous les 2 jours par inoculation intra-gastrique ou 120 ppm par inhalation, pendant 13 semaines), l’organe cible est le rein (formation de gouttelettes hyalines dans les cellules épithéliales des tubes contournés proximaux et dégénérescence cellulaire) ; l’inhalation provoque aussi des effets hématologiques (augmentation du nombre de globules rouges nucléés, des réticulocytes et des plaquettes à la forte concentration) et une irritation du système respiratoire;
- chez la souris (inhalation 7,5-120 ppm, 13 semaines), l’effet principal est hématologique (semblable au rat); il est accompagné d’une irritation nasale objectivée par une métaplasie de l’épithélium olfactif (> 60 ppm) et une dégénérescence de l’épithélium respiratoire;
- chez le cobaye, quelle que soit la voie d’exposition, on observe une dépression du système nerveux central, une anémie et une leucopénie légères, une atrophie centrolobulaire toxique du foie et une néphrose nécrotique avec oligurie, albuminurie, hématurie et présence de cylindres urinaires. L’exposition par inhalation (1,48 mg/l, 8 h/j, 17 à 22 jours) provoque une bronchopneumonie, par voie orale (1 000 mg/kg/j, 22 à 35 j) des diarrhées intenses et une gastrite ulcéreuse, et par voie cutanée un eczéma squameux.
Le tétrahydronaphtalène induit la formation d’une cataracte, par inhalation chez le cobaye et par voie orale chez le lapin, mais pas chez le rat (20 000 ppm dans la nourriture, 2 mois). L’effet cataractogène serait lié à un métabolite du tétrahydronaphtalène, le 2-tétralol, peu présent chez le rat (4 % dans l’urine contre 25 % chez le lapin).
Effets génotoxiques [5, 11, 12]
In vitro, le tétrahydronaphtalène, avec et sans activation métabolique, donne des résultats négatifs dans le test d’Ames et positifs sur cellules de lymphome de souris.
In vivo, il n’induit pas la formation de micronoyaux dans le sang périphérique de la souris mâle ou femelle (inhalation 7,5-120 ppm, 24 h).
Effets cancérogènes [11]
Un test de cancérogenèse à long terme est en cours au National Toxicology Program sur rats et souris exposés par inhalation (0-30-60-120 ppm).
Effets sur la reproduction
Toxicité sur l’HommeAprès ingestion ou inhalation de fortes concentrations, le tétrahydronaphtalène provoque des troubles digestif et neurologique ; une atteinte hépatique est possible. Il est irritant pour la peau et les muqueuses oculaire et respiratoire. On ne dispose pas de donnée sur les effets à termes de cette substance.
Toxicité aiguë [5, 7, 9, 13]
Plusieurs cas d’intoxications domestique et/ou professionnelle lors d’expositions à des vapeurs de vernis ou des cires contenant du tétrahydronaphtalène ont été décrits; les symptômes associent céphalées, malaises, nausées, vomissements et coloration gris-vert des urines. Le rôle possible des autres expositions ne peut pas être clairement apprécié.
Une ingestion volontaire d’une préparation (250 ml) contenant 30 % de tétrahydronaphtalène a été responsable de nausées, vomissements, d’une coloration gris-vert des urines, d’une élévation de la bilirubine, des phosphatases alcalines, des transaminases et de la créatinine et d’une protéinurie. Ces anomalies furent réversibles après deux semaines.
Le produit est irritant pour la peau lors de contacts répétés. L’inhalation de vapeurs peut entraîner des irritations des muqueuses nasales, oculaires et respiratoires.
Quatre semaines après le contact avec du tétrahydronaphtalène utilisé pour le graissage de moules (exposition 2 fois 30 min/jour), une dermatite allergique et/ou irritative des doigts est apparue chez un salarié de l’industrie du caoutchouc, malgré le port de gants; cette dermatite, réversible après arrêt de l’exposition, a récidivé à la reprise du travail. Des patchs tests réalisés avec le tétrahydronaphtalène à différentes concentrations (25, 10, et 2,5 % dans l’huile d’olive) étaient positifs après 48 heures (1 sujet contrôle sur 10 a eu une réaction positive avec le tétrahydronaphtalène à 25 et 10 % à 3 jours). La nature de l’effet (irritant et/ou sensibilisant) du tétrahydronaphtalène dans cette réaction reste discutée [13].
Toxicité chronique [7]
Aucune étude épidémiologique sur les effets de l’exposition répétée au tétrahydronaphtalène n’est disponible; quelques rapports de cas font état d’atteintes neurologiques (céphalées, malaise) associées à des nausées, diarrhées et asthénie chez des sujets professionnellement exposés.
Effets cancérogènes
Aucune donnée n’a été rapportée concernant le risque de cancers chez l’homme.
Effets sur la reproduction
Aucune donnée n’a été rapportée concernant des effets sur la reproduction chez l’homme.
Cohérence des réponses biologiques chez l'Homme et l'animal