Pathologie - Toxicologie
-
Toxicocinétique - Métabolisme [17]
Le 2-méthoxyéthanol est rapidement absorbé par voies digestive, respiratoire et cutanée.
Absorption, distribution, métabolisme et excrétion
L’absorption à travers la peau humaine in vitro est de 1,66 mg/cm2/h, in vivo elle est de 2,9 mg/cm2/h. L’absorption respiratoire, qui est fonction de l’activité physique, est de 76 % chez des volontaires exposés à 16 mg/m3 pendant 4 heures au repos ; en exposition combinée inhalatoire-cutanée, la pénétration par la peau représente 55 % du 2-méthoxyéthanol absorbé [18].
Le 2-méthoxyéthanol se distribue, chez la souris et le rat, dans le cerveau, le plasma, les poumons et le foie, avec une demi-vie de 1 à 2 heures, sans accumulation substantielle du composé lui-même [19] ; par contre, son métabolite principal, l’acide 2-méthoxyacétique, s’accumule chez l’Homme et l’animal. Les études chez les rates et les souris gestantes ont montré que la radioactivité provenant du 2-méthoxyéthanol radiomarqué et les métabolites de la molécule non radiomarquée apparaissent dans le sac vitellin et le placenta et s’accumulent dans les tissus fœtaux, particulièrement dans ceux à fort potentiel métabolique [20].
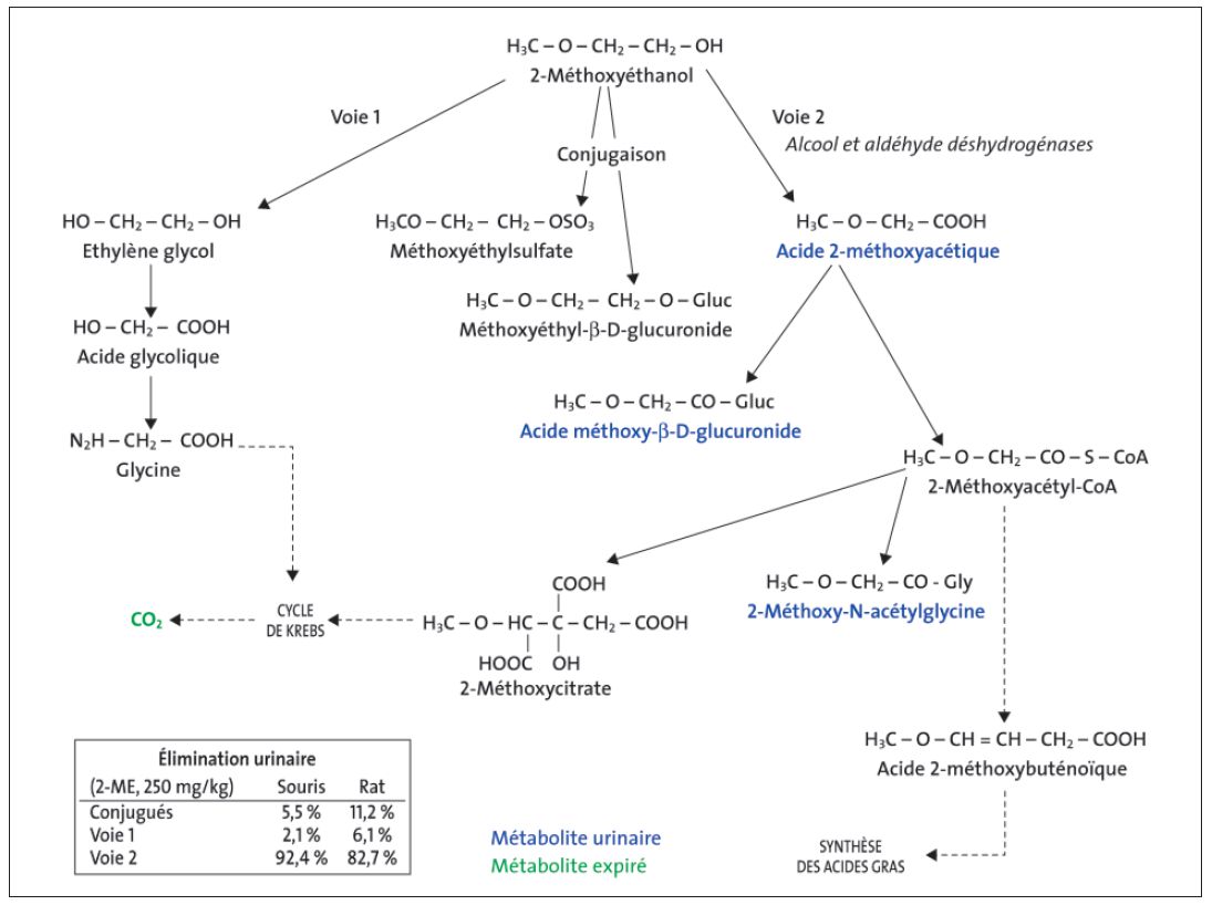
Le 2-méthoxyéthanol est métabolisé, chez l’Homme comme chez l’animal, par deux voies oxydatives principales (Fig. 1) :
- par action d’une monooxygénase à cytochrome P450 (voie 1) qui mène à l’exhalation de CO2 via l’éthylène glycol et le cycle de Krebs ;
- par action de l’alcool et de l’aldéhyde déshydrogénase (voie 2) qui mène à la formation et à l’excrétion d’acide 2-méthoxyacétique. Cet acide est responsable des effets hématologiques, testiculaires et fœtotoxiques.
L’élimination est principalement urinaire (80 à 90 % chez l’animal après 48 heures), l’exhalation en CO2 correspondant à 12 % de la dose orale administrée chez le rat [17] ; il reste, dans les tissus, 18 % de la dose initiale après 48 heures [19]. Le 2-méthoxyéthanol est éliminé dans l’urine sous forme conjuguée avec des sulfates ou l’acide glucuronique. L’acide 2-méthoxyacétique et ses conjugués sont éliminés dans l’urine avec une demi-vie de 12-14 heures chez le rat, 6 heures chez la souris gestante et 20 heures chez le macaque [21].
Chez l’Homme, il y a une augmentation rapide du taux d’excrétion urinaire de l’acide 2-méthoxyacétique pendant l’exposition, avec une demi-vie avoisinant 77 heures.
À la fin de l’exposition, le taux d’excrétion urinaire est constant pendant 4 à 6 heures, puis décline de manière exponentielle. L’élimination d’acide 2-méthoxyacétique correspond à 85 % de la dose absorbée, dont 28 % sont excrétés dans les premières 48 heures et 55 % jusqu’à 120 heures après l’exposition.
Schéma métabolique

Fig. 1 : Schéma métabolique proposé par Jenkins-Summer et al [22]
Mode d'actions [17]
L’acide 2-méthoxyacétique serait responsable de la toxicité du 2-méthoxyéthanol ; il affecte l’énergie de la cellule cible en entrant comme faux substrat dans le cycle des acides tricarboxyliques (cycle de Krebs) et la biodisponibilité des petites unités carbonées nécessaires à la synthèse des bases puriques et pyrimidiques. Les deux mécanismes mènent à une rupture de la prolifération cellulaire et de la différenciation normale de l’épithélium séminifère ou de l’embryon [17].
Surveillance Biologique de l'exposition [23]
L'acide 2-méthoxyacétique urinaire en fin de poste et fin de semaine de travail, après au moins 2 semaines d'exposition, est l’indicateur à privilégier pour la surveillance biologique de l’exposition professionnelle au 2-méthoxyéthanol.
Des valeurs biologiques d’interprétation professionnelles et en population générale sont disponibles pour cet indicateur.
L'acide 2-méthoxyacétique est également un métabolite d’autres éthers de glycol, EGDME (CAS 110-71-4), DEGME (CAS 111-77-3), DEGDME (CAS 111-96-9), TEGME (CAS 112-35-6) et TEGDME (CAS 112-49-2).
Toxicité expérimentaleToxicité aiguë [17]
Les effets observés dans toutes les espèces animales sont une dépression du système nerveux central, des signes d’irritation des muqueuses et des lésions pulmonaires (oedème), rénales sévères (tubulopathie aiguë) et hépatiques modérées. À doses très élevées, le 2-méthoxyéthanol est hémolysant.
Chez le rat, la DL50 par voie orale est comprise entre 2460 et 3400 mg/kg ; elle est égale à 2800 mg/kg chez la souris, 890 mg/kg chez le lapin et 950 mg/kg chez le cobaye.
La DL50 par voie cutanée chez le lapin est comprise entre 1290 et 2000 mg/kg.
La CL50 chez le rat et la souris est d’environ 1500 ppm pour une exposition de 7 heures [24].
Le 2-méthoxyéthanol n’est pas irritant pour la peau du lapin, même en cas de contact prolongé ; l’instillation oculaire produit une douleur immédiate, une hyperhémie conjonctivale et une légère opacification cornéenne qui disparaît en 24 heures [21].
Toxicité subchronique, chronique [17, 19]
L’exposition prolongée ou répétée au 2-méthoxyéthanol est responsable d’atteintes organiques multiples et sévères; les cibles principales sont les tissus en prolifération et/ou en différenciation, à l’exception de l’épithélium intestinal.
- Système nerveux central et périphérique: prostration, tremblements chez le lapin (doses supérieures à 0,1 ml/kg par voie orale) ; troubles du comportement chez le rat (125 ppm, 4 h/j pendant 14 jours) ; inhibition de la réponse conditionnée chez la souris (500 ppm, 4 h/j, pendant 8 jours) ; modifications biochimiques des cellules gliales cérébrales chez le rat (50 ppm, 6 h/j pendant 7 à 14 jours).
- Système sanguin: leucopénie, anémie, thrombopénie qui semblent se corriger spontanément à l’arrêt de l’exposition et qui sont dues à :
- une dépression médullaire prédominant sur la lignée blanche (dès 300 ppm pendant 9 jours par inhalation chez le rat ou 500 mg/kg/j, 5 j/sem pendant 5 semaines par voie orale chez le rat, la souris, le cobaye et le hamster) ;
- une atteinte du thymus et des autres organes lymphoïdes (dès 300 ppm par inhalation ou 200 mg/kg par voie orale chez le rat ; 1000 mg/kg chez la souris) ; cette toxicité directe pour les organes lymphoïdes est responsable d’un effet immunodépresseur ;
- Système reproducteur : atrophie testiculaire due à un blocage de la maturation des cellules germinales (les spermatocytes pachytènes en particulier), sans modification des spermatogonies et des cellules de Leydig et de Sertoli. Une atteinte testiculaire s’observe par inhalation au-delà de 100 ppm chez le rat, par voie orale dès 100 mg/kg/j chez le rat, 250 mg/kg/j chez la souris et le hamster et 500 mg/kg/j chez le cobaye et par voie cutanée à 1000 mg/kg/j sous occlusion chez le rat et le cobaye.
Une atteinte tubulaire rénale a été observée à forte dose.
La dose sans effet nocif observé chez le rat est de 100 ppm, 6 h/j, 5 j/sem pendant 13 semaines par inhalation ou 50 mg/kg/j pendant 11 jours par voie orale.
Effets génotoxiques [17]
Les tests réalisés in vitro sont négatifs tandis qu'in vivo 2 tests sont positifs (mutation létale dominante et anomalie du sperme).
Le 2-méthoxyéthanol donne des résultats négatifs dans les tests in vitro en présence ou en absence d’activation métabolique (mutation génique sur bactéries, cellules CHO de hamster chinois [25] et cellules de lymphome de souris ; synthèse non programmée de l’ADN sur fibroblastes embryonnaires humains).
In vivo, il n’induit pas d’aberration chromosomique dans la moelle osseuse de rat ; la réponse est ambiguë dans le test de létalité récessive liée au sexe chez la drosophile, et positive dans les tests de mutation létale dominante chez le rat (300 ppm, 6 h/j, 5 j/sem, 13 sem) [19].
Effets sur la reproduction [17]
Le 2-méthoxyéthanol diminue la fertilité par son effet testiculaire et prolonge la durée de gestation chez la souris et la rate. Il s’avère embryotoxique, fœtotoxique et tératogène. Les effets sur le développement, y compris les malformations, sont observés chez certaines espèces à des doses faibles à modérées, indiquant une sensibilité importante du fœtus.
Le 2-méthoxyéthanol est toxique pour le mâle, il provoque la dégénérescence des spermatocytes 24 heures après une dose unique ; la poursuite de l’exposition provoque une perte progressive de la population des spermatides précoces. Les effets testiculaires ont été observés chez des animaux (souris, rat, lapin, cobaye et chien) exposés par inhalation et par voie orale ; ils sont le résultat d’une lésion des spermatocytes préméïotiques et méïotiques, les spermatocytes précoces ou tardifs ainsi que les spermatogonies et les cellules de Sertoli ne sont pas affectés.
Ces modifications se traduisent par une baisse de poids et un aspect flasque des testicules et une dégénérescence modérée à sévère de l’épithélium dans les tubes séminifères. Les lésions sont liées à la dose ; la plus faible dose reprotoxique, est 100 ppm, 6 h/j, 5 j/sem pendant 13 semaines chez le lapin et 300 ppm chez le rat pour la même durée [20]. La réversibilité est complète 8 semaines après une exposition à 500 mg/kg/j pendant 4 jours [19].
Le 2-méthoxyéthanol est toxique pour le développement, en présence ou en absence de toxicité maternelle, par toutes les voies d’exposition et pour toutes les espèces étudiées, y compris les primates ; le lapin semble être le plus sensible. La dose sans effet observé, chez le rat et la souris, est 10 ppm par inhalation, 250 mg/kg/j par voie cutanée et 16 mg/kg/j par voie orale, alors que les petits des lapines exposées à 10 ppm du 6e au 18e jour de gestation présentent des retards d’ossification, des malformations du squelette et une baisse de poids [20].
L’action tératogène du 2-méthoxyéthanol est fonction de la dose et du moment du traitement. Une exposition des mères avant le 12e jour de gestation provoque une létalité embryonnaire, de forts taux de résorption et une létalité fœtale tardive avec exencéphalie. L’exposition du 11e au 13e jour de gestation est associée à une forte incidence d’anomalies externes, viscérales et squelettiques (malformation des pattes et des doigts, effets cardiovasculaires et urologiques) ; les fœtus sont moins sensibles à une exposition au 14e ou au 15e jour [26].
Les effets du 2-méthoxyéthanol sur la reproduction seraient dus à l’acide 2-méthoxyacétique, lui-même fortement embryotoxique et tératogène. L’éthanol et les inhibiteurs de l’aIcool-deshydrogénase semblent diminuer cet effet en diminuant le taux d’oxydation du 2-méthoxyéthanol en acide 2-méthoxyacétique.
Toxicité sur l’HommeLes intoxications aiguës au 2-méthoxyéthanol conduisent majoritairement à des troubles digestifs, neurologiques ainsi que des atteintes biologiques (acidose, atteinte hépatique...). Des signes neuro-digestifs chroniques et une atteinte hématologique (anémie, leucopénie, pancytopénie) sont rapportées après des expositions chroniques par inhalation ou voie cutanée. Des signaux d’alerte d’atteinte de la fertilité masculine ont été observés lors d’intoxications chroniques au 2-méthoxyéthanol ainsi qu’une augmentation des avortements spontanés lors de co-exposition avec d’autres éthers de glycols.
Toxicité aiguë [2, 27, 28]
Plusieurs intoxications aiguës par ingestion de 2-méthoxyéthanol ont été décrites. Les effets se manifestent généralement après un délai de plusieurs heures. Ils associent des troubles digestifs liés à des phénomènes irritatifs (nausée, gastralgie, vomissement), neurologiques (confusion, agitation, faiblesse musculaire) et parfois une hyperventilation; dans les cas graves le patient entre dans le coma. Des anomalies biologiques sont également constatées, comme une acidose métabolique et une discrète atteinte hépatique.
Certains développent une atteinte rénale tubulaire parfois sévère avec protéinurie et oxalurie.
Dans certains cas mortels, on note une gastrite hémorragique et une pancréatite.
L’application cutanée de 2-méthoxyéthanol sur un volontaire produisit un érythème suivi d’une exfoliation locale.
Un cas de kératite rapidement réversible a été décrit, il y a de nombreuses années, après projection de 2-méthoxyéthanol dans les yeux.
Toxicité chronique [2, 27-30]
Les effets connus proviennent soit d’études de cas, soit d’enquêtes épidémiologiques dans lesquelles les sujets sont le plus souvent en contact avec des mélanges de solvants. Il n’est donc pas facile d’apprécier la part du 2-méthoxyéthanol dans ces pathologies.
Quelques intoxications subaiguës ou chroniques sont rapportées après exposition par inhalation ou par voie cutanée. Les signes sont principalement neurologiques (céphalée, somnolence, apathie, tremblement, trouble de la concentration), neuro-sensoriel (perturbations de l’audition, du goût et de la vision), associés à une perte d’appétit et de poids. Il existe dans certains cas des signes nets d’atteinte cérébelleuse : ataxie, trouble de la marche, des réflexes et de la parole. Les examens peuvent révéler une réduction du nombre d’hématies, une leucopénie avec lymphocytose relative, voire une pancytopénie (atteinte de tous les éléments figurés du sang).
Une étude sur 65 travailleurs exposés au 2-méthoxyéthanol n’a retrouvé ni anomalie hématologique, ni anomalie des dosages hormonaux (FSH, LH et testostérone). Une réduction, non significative au plan statistique, de la taille des testicules est rapportée ; elle ne s’accompagne pas d’anomalie spermatique.
Par contre, chez des peintres exposés à la fois à du 2-méthoxyéthanol et à du 2-éthoxyéthanol, les auteurs mettent en évidence une tendance à l’anémie et à la granulopénie ainsi qu’à une oligospermie [31].
Une malformation des organes génitaux externes (hypospadias, descente testiculaire incomplète) a été rapportée chez les deux enfants d’une femme exposée de façon importante pendant ses grossesses à de l’acétate de 2-méthoxyéthanol, qui se transforme rapidement en 2-méthoxyéthanol dans l’organisme.
Une augmentation du nombre d’avortements spontanés est constatée dans certaines enquêtes menées chez les employées de la microélectronique. Ces anomalies surviennent chez des salariées utilisant plusieurs substances dont des éthers de glycol [32].
Cohérence des réponses biologiques chez l'Homme et l'animal