Généralités
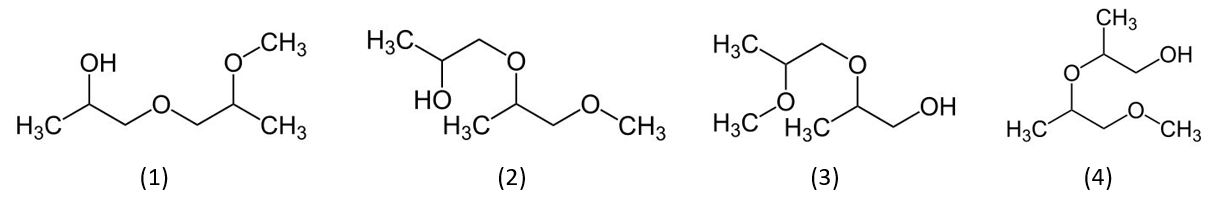
Le nom chimique (2-méthoxyméthyléthoxy)propanol, couvert par le numéro CAS 34590-94-8, comprend 4 isomères ; ces 4 isomères sont présents dans le produit commercial, en général dans les proportions suivantes :
- (1) : 40 à 50 % de 1-(2-méthoxypropoxy)propan-2-ol (CAS 13429-07-7) ;
- (2) : 40 à 45 % de 1-(2-méthoxy-1-méthyléthoxy)propan-2-ol (CAS 20324-32-7) ;
- (3) : 2 à 5 % de 2-(2-méthoxypropoxy)propanol-1-ol (CAS 13588-28-8) ;
- (4) : 3 à 5 % de 2-(2-méthoxy-1-méthyléthoxy)propan-1-ol (CAS 55956-21-3).
Les informations de cette fiche se rapportent au mélange d'isomères. Le nom retenu pour la substance dans cette fiche est DPGME.
Substance(s)
| Formule | Nom | Famille chimique | Numéro CAS | Numéro CE | Numéro index | Synonymes |
|---|---|---|---|---|---|---|
| (2-Méthoxyméthyléthoxy)propanol | Éthers de glycol | 34590-94-8 | 252-104-2 | DPGME ; Éther méthylique du dipropylène-glycol |
Formule chimique

Étiquette(s)
(2-MÉTHOXYMÉTHYLÉTHOXY)PROPANOL
-
Cette substance doit être étiquetée conformément au règlement (CE) n° 1272/2008 dit "règlement CLP".
252-104-2
Cette substance ne possède pas de classification et d'étiquetage harmonisés (annexe VI du règlement CLP). Elle doit cependant être classée le cas échéant par le metteur sur le marché et étiquetée en conséquence (cf. § "Classification et étiquetage" du chapitre "Réglementation").