Pathologie - Toxicologie
-
Toxicocinétique - Métabolisme
Même si aucune donnée quantitative n’est disponible expérimentalement, la toxicité systémique observée traduit l’absorption du méthacrylate d’éthyle par voies orale et respiratoire ; par voie cutanée, un modèle PBPK estime la fraction absorbée sur peau humaine entre 2 et 10 %. Une fois absorbé, le méthacrylate d’éthyle est rapidement métabolisé en acide méthacrylique et éthanol, avant d’être éliminé sous forme de CO2. Aucune donnée n’est disponible chez l’Homme.
Chez l'animal
Absorption
Aucune donnée quantitative n’est disponible par voie orale ou par inhalation mais la survenue rapide d’effets systémiques lors des études expérimentales confirme la rapide absorption du méthacrylate d’éthyle par ces voies [14, 15].
Par voie cutanée, aucune étude n’est disponible. A partir d’un modèle PBPK développé en 2002, la fraction de méthacrylate d’éthyle absorbée a été estimée, sur de la peau de rat, entre celle du méthacrylate de méthyle (MMA : 46 % / 16 heures) et celle du méthacrylate de n-butyle (n-BMA : 18 % / 24 heures) ; sur la peau humaine, elle serait comprise entre 2 % / 24 h (MMA) et 10 % / 24 h (n-BMA) [16].
Distribution
Le métabolisme étant rapide, l’accumulation est peu probable [3].
Métabolisme
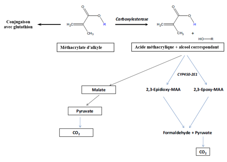
Les méthacrylates d’alkyles à chaîne légère, famille à laquelle appartient le méthacrylate d’éthyle, sont rapidement hydrolysés par des carboxylestérases en acide méthacrylique et en alcool correspondant (éthanol ici), dans de nombreux tissus. Le pic de concentration sanguine en acide méthacrylique est atteint en moins de 2 minutes, après une injection de méthacrylate d’éthyle par intra veineuse chez le rat [14, 16]. L’acide méthacrylique et l’éthanol formés sont à leur tour métabolisés, pour former à terme du CO2 (Cf. Figure 1).
Les tissus impliqués dans cette transformation sont ceux directement au contact de la substance (l’épithélium nasal, la peau, la muqueuse gastro-intestinale), le foie et le sang.
Une conjugaison avec le glutathion serait aussi possible, probablement quand les concentrations dans les tissus deviennent très importantes [18].
Schéma métabolique

Figure 1 : Voies métaboliques des méthacrylates d’alkyle à chaîne courte [18]
Excrétion
L’acide méthacrylique et l’éthanol sont métabolisés puis éliminés sous forme de CO2.
Toxicité expérimentaleToxicité aiguë
La toxicité aiguë du méthacrylate d’éthyle est faible. Les principaux effets sont observés au niveau du tractus respiratoire. C’est un irritant respiratoire ; il induit une légère irritation de la peau et des yeux et possède un faible potentiel sensibilisant cutané.
Les DL50 par voie orale sont supérieures à 12700 mg/kg chez le rat et 7800 mg/kg chez la souris [19]. Dans les 40 minutes qui suivent l’ingestion, les animaux présentent une respiration accélérée, un larmoiement et une faiblesse générale, avant un ralentissement de la respiration, une diminution des réflexes et la présence de sang dans les urines. La mort survient après 1-1,5 heure, les animaux étant dans le coma ; les autopsies pratiquées révèlent des atteintes du tractus respiratoire (congestion, œdème, hémorragie, emphysème), ainsi que du thymus, du cœur, des vaisseaux abdominaux (congestion, dilatation), de l’intestin (congestion, inflammation) et de la vessie (hémorragie, nécrose, lésions de la muqueuse) [2].
Par inhalation, la CL50 4 heures chez le rat est de 8300 ppm. Des rats exposés à 200 ppm pendant 6 heures présentent une dégénérescence de l’épithélium olfactif, moins sévère que chez les rats exposés directement à l’acide méthacrylique [16]. Pour des concentrations proches de 3200 ppm, des rats meurent en 3-4 heures ; les autopsies révèlent des atteintes du tractus respiratoire (congestion, œdème, hémorragie, emphysème) [2].
Par voie cutanée, l’application de 9135 mg/kg pc de méthacrylate d’éthyle sur de la peau de lapin entraîne une inactivité de ces derniers qui disparait après 1 heure [2].
Irritation, sensibilisation
Le méthacrylate d’éthyle est légèrement irritant pour la peau de lapin, en conditions semi-occlusives lors d’une exposition de 2 heures, et modérément irritant en conditions occlusives pour une durée de 24 heures.
Chez le lapin, après instillation de 0,1 mL de méthacrylate d’éthyle pur dans le sac conjonctival, une légère irritation est observée dans les 2-3 jours suivants, réversible en une semaine [2].
Le méthacrylate d’éthyle est un irritant respiratoire : des lésions sont observées dans la cavité nasale de rats exposés à 200 ppm pendant 6 heures [16].
Un test de maximisation (GPMT) réalisé chez le cobaye donne des résultats positifs [3]. Lors d’un essai d’activation des ganglions lymphatiques (LLNA) réalisé chez la souris, un léger potentiel sensibilisant est mis en évidence (EC3 = 82.6 %) [14]. Une réaction croisée avec d’autres méthacrylates est possible chez l’animal [17].
Toxicité subchronique, chronique
Aucune donnée relative aux effets subchroniques et chroniques du méthacrylate d’éthyle n’est disponible chez l’animal à la date de publication de cette fiche toxicologique.
Effets génotoxiques
Aucun test in vivo n’est disponible. In vitro, les études menées sur bactéries donnent des résultats négatifs ; sur cellules de mammifères, très peu d’études sont disponibles et elles donnent des résultats variables.
In vitro
Les tests d’Ames réalisés sur S. typhimurium, avec et sans activation métabolique, donnent des résultats négatifs [20].
Les tests réalisés sur des cellules de mammifères donnent des résultats négatifs (aberrations chromosomiques sur cellules ovariennes de hamster chinois avec et sans activation métabolique) et positifs (essai sur cellules de lymphome de souris légèrement positif aux concentrations cytotoxiques, sans activation ; échanges de chromatides sœurs sur cellules ovariennes de hamster chinois avec activation métabolique) [19, 21].
In vivo
Aucun test in vivo n’est disponible à la date de publication de cette fiche toxicologique.
Effets cancérogènes
Aucune donnée relative aux effets cancérogènes n’est disponible chez l’animal à la date de publication de cette fiche toxicologique.
Effets sur la reproduction
Aucune donnée relative à la fertilité n’est disponible. Concernant les effets sur le développement, une diminution du poids des fœtus est observée chez le rat, en présence de toxicité maternelle. Aucun effet tératogène n’est rapporté.
Fertilité
Aucune donnée relative aux effets sur la fertilité n’est disponible chez l’animal à la date de publication de cette fiche toxicologique.
Développement
Des rats ont été exposés à 0-600-1200-1800 et 2400 ppm de méthacrylate d’éthyle, du 6e au 20e jour de gestation, 6 heures par jour. Une diminution du poids des fœtus mâles est observée à 1200 ppm, et pour les fœtus mâles et femelles à 1800 et 2400 ppm. Des signes de toxicité maternelle sont notés à toutes les concentrations : diminution de la prise de nourriture dès 600 ppm et diminution du gain de poids à partir de 1200 ppm. Aucune malformation externe, viscérale ou squelettique n’est observée. A partir de ces résultats, une NOAEC de 600 ppm est déterminée pour les effets sur le développement [22].
Neurotoxicité
Une seule étude fait état d’atteintes neurologiques mais ces résultats sont aujourd’hui remis en question.
Des rats mâles ont été exposés à 0-50-100 et 250 mg/kg pc/j de méthacrylate d’éthyle dans l’eau de boisson, pendant 60 jours. Des atteintes histopathologiques (dommages similaires à une myélinopathie) sont observées au niveau des coupes du cerveau, de la moelle épinière et du nerf sciatique, à partir de 50 mg/kg pc/j mais sans modification du comportement [23]. Une réévaluation de cette étude [17] n’exclut pas que ces modifications ne soient que des artéfacts, étant donné qu’ils n’engendrent pas d’effets comportementaux, et soulignent les écarts du protocole mis en œuvre par rapport aux recommandations des lignes directrices de l’OCDE.
Toxicité sur l’HommeLes principaux effets aigus décrits avec le méthacrylate d’éthyle sont des effets irritants pour la peau et les muqueuses. Lors d’expositions chroniques, une sensibilisation cutanée, souvent en association avec d’autres méthacrylates, ainsi qu’une rhinite et un asthme peuvent être observés. Aucune donnée n’est disponible chez l’homme à la date de publication de cette fiche toxicologique quant à d’éventuels effets génotoxiques, cancérogènes ou toxiques pour la reproduction.
Toxicité aiguë
Le méthacrylate d’éthyle est modérément irritant pour la peau et les muqueuses oculaire et respiratoire.
Dans une étude visant à déterminer la fréquence des réactions cutanées et la concentration appropriée à tester, un test épicutané au méthacrylate d’éthyle (1 % dans la vaseline) est réalisé pendant 48 heures chez 542 patients présentant une dermatite. Une seule réaction positive est rapportée, considérée comme allergique, possiblement en lien avec l’utilisation de peintures acryliques [24]. Aucune sensibilisation active ni réaction d’irritation ne sont observées.
Une irritation de la gorge est rapportée dans une étude réalisée chez 20 prothésistes ongulaires dans 6 salons différents [25]. La concentration atmosphérique moyenne mesurée sur 8 heures est de 4,5 ppm pour le méthacrylate d’éthyle ; celles mesurées pour le toluène, le propan-2-ol, l’acétate de butyle, sont respectivement de 0,8-15,6-0,4 ppm. Les concentrations de particules respirables (représentatives de la fraction alvéolaire) et "total dust" (terme anglophone qui désigne un prélèvement en cassette fermée et l'analyse de la fraction collectée sur le filtre seul, qui sous-estime probablement la fraction inhalable) sont respectivement de 0,9 et 1,4 mg/m3.
Un effet dépresseur du système nerveux central, probablement à forte dose, est évoqué par certains auteurs mais peu documenté [26, 27].
Toxicité chronique [47]
Des dermatites de contact allergiques professionnelles aux (méth)acrylates avec sensibilisation notamment au méthacrylate d’éthyle sont rapportées chez des travailleurs manipulant des colles, en particulier des mastics [28], des prothésistes ongulaires (mais aussi chez les utilisatrices de faux ongles) [29 à 32] et des personnels dentaires [33 à 35]. La forme clinique la plus typique de la dermatite de contact allergique aux (meth)acrylates est un eczéma des mains avec une pulpite douloureuse, fissuraire pouvant être associée à une diminution de la sensibilité tactile, des paresthésies des doigts et, lors du port de faux ongles, à des lésions unguéales et péri-unguéales ; une atteinte du visage peut être observée en cas de contact manuporté ou aéroporté [36], les avant-bras peuvent être touchés chez les prothésistes ongulaires [32]. De multiples sensibilisations à différents méthacrylates sont souvent rapportées, sans pouvoir conclure s’il s’agit de co-sensibilisations ou de réactions croisées.
Des cas de rhinite et d’asthme professionnels aux méthacrylates sont décrits, sans précision du composé en cause, notamment chez des personnels dentaires et des prothésistes ongulaires [37, 38]. Une association avec une dermatite de contact allergique est parfois rapportée, avec des tests épicutanés positifs à plusieurs méthacrylates [39], dont le méthacrylate d’éthyle [40, 41]. Le mécanisme précis, irritatif et/ou immuno-allergique, n’est pas clairement identifié. Une exacerbation d’asthme préexistant lors de l’exposition professionnelle est décrite chez des prothésistes ongulaires ayant développé une dermatite de contact allergique aux (méth)acrylates [32].
Plus rarement, le rôle de l’exposition à des monomères méthacryliques a été suspecté dans des cas de pneumopathies d’hypersensibilité observés chez des prothésistes ongulaires [42]. Dans des cas rapportés chez des techniciens dentaires, c’est le méthacrylate de méthyle qui a été incriminé [43, 44].
Des études réalisées chez des prothésistes ongulaires montrent divers effets fonctionnels respiratoires (diminution du volume expiré maximal en 1 seconde (VEMS) et de la capacité vitale forcée (CVF), diminution du débit expiratoire moyen (DEM) et de la diffusion du CO) et une augmentation du monoxyde d’azote mesuré dans l’air exhalé (marqueur d’inflammation des voies aériennes) [45, 46]. Ces études transversales ont un effectif faible, parfois sans groupe témoin. Par ailleurs, notamment du fait des co-expositions, les effets fonctionnels respiratoires observés ne peuvent être attribués à un agent en particulier.
Pour les mêmes raisons, les manifestations neurologiques évoquant un psychosyndrome organique aux solvants, rapportées également chez des prothésistes ongulaires (céphalées, faiblesse musculaire, troubles du sommeil, de la concentration et de la mémoire, altération des performances cognitives) ne peuvent être attribuées aux seuls méthacrylates [42].
Effets génotoxiques
Aucune donnée n’est disponible chez l’homme à la date de publication de cette fiche toxicologique.
Effets cancérogènes
Aucune donnée n’est disponible chez l’homme à la date de publication de cette fiche toxicologique.
Effets sur la reproduction
Aucune donnée n’est disponible chez l’homme à la date de publication de cette fiche toxicologique.
Cohérence des réponses biologiques chez l'Homme et l'animal