Pathologie - Toxicologie
-
Toxicocinétique - Métabolisme [18, 19]
Chez l’animal, le chlorure de vinyle est bien absorbé par voies orale et inhalatoire et est distribué largement dans l'organisme. Il est rapidement métabolisé au niveau hépatique en métabolites réactifs responsables de la toxicité, éliminés principalement dans les urines. A forte dose, le chlorure de vinyle non métabolisé est excrété dans l’air expiré. Le passage transplacentaire du chlorure de vinyle ou de ses métabolites est possible. Chez l’Homme, les données sont plus limitées mais le métabolisme est identique, de même que l’élimination, principalement urinaire mais aussi inhalatoire.
Chez l'animal
Absorption
Chez le rat, le chlorure de vinyle est rapidement et complètement absorbé après exposition orale (le pic sanguin est observé 10 à 20 minutes après exposition) ou inhalatoire. L’absorption cutanée est faible ; chez le singe, elle est estimée à 0,031 % d’une dose de 800 ppm après 2 heures d’exposition.
Distribution
Les études animales indiquent que la distribution est vaste et rapide, cependant le stockage corporel est limité à cause d’une métabolisation et d’une excrétion rapides. Le chlorure de vinyle et/ou ses métabolites sont retrouvés dans le foie, les reins, la rate, la peau et le cerveau, sans que la concentration tissulaire n’augmente après des expositions répétées. Ils passent la barrière placentaire.
Métabolisme
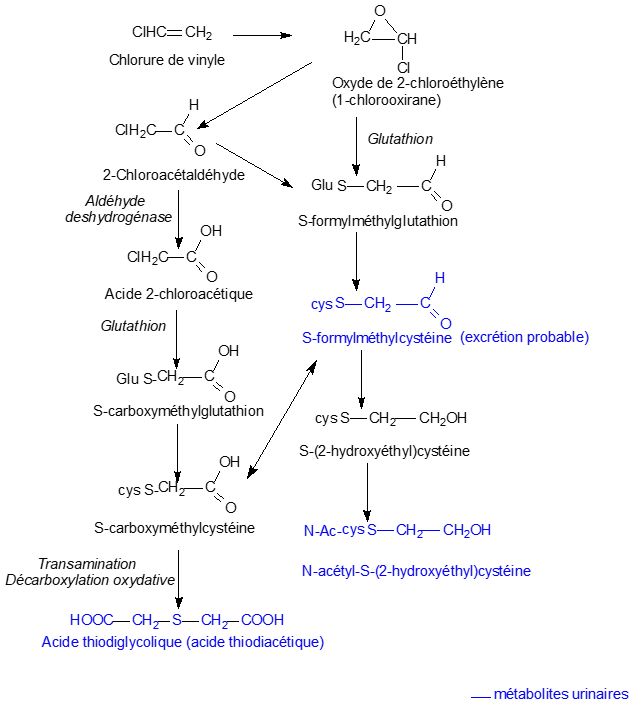
Les voies impliquées dans le métabolisme du chlorure de vinyle sont identiques quelle que soit la voie d’exposition ou l’espèce (voir Fig. 1). Il est oxydé, dans le foie, par les oxydases à cytP450 en un intermédiaire réactif, l’oxyde de 2-chloroéthylène, qui se réarrange spontanément en 2-chloroacétaldéhyde. Ces métabolites réactifs, responsables de la toxicité par fixation aux macromolécules, sont conjugués au glutathion et excrétés.
Le métabolisme est un processus saturable (fonction de la dose). Chez le rat, il suit une cinétique du 1er ordre avec saturation enzymatique à environ 100 ppm par inhalation ou entre 1 et 100 mg/kg/j par voie orale.
Schéma métabolique

Fig. 1. Métabolisme du chlorure de vinyle [19]
Excrétion
Le chlorure de vinyle est excrété essentiellement dans l’urine après exposition orale ou inhalatoire à faible concentration. Quand la dose augmente, le métabolisme est saturé et le chlorure de vinyle non métabolisé est excrété dans l’air expiré (voir Tableau 1). Après exposition cutanée, le singe excrète dans l’air expiré la faible quantité de chlorure de vinyle absorbée.

Tableau 1. Excrétion du chlorure de vinyle et/ou de ses métabolites chez le rat [20]
Chez l'Homme
La rétention du chlorure de vinyle est de 42 % quelle que soit la concentration inhalée (2,9 à 23,5 ppm) ; sa distribution dans le corps humain n’a pas été étudiée. Il est métabolisé de manière identique à l’animal (voir Fig. 1). Une exposition par inhalation, à faible concentration, est sui vie d’une faible élimination dans l’air expiré et une forte élimination urinaire ; il n’ya pas de donnée sur l’excrétion après exposition orale ou cutanée. Trois métabolites sont excrétés dans l’urine, dont deux identifiés (voir Fig. 1). Le taux urinaire d’acide thioglycolique est corrélé avec la concentration de chlorure de vinyle dans l’air au-delà de 5 ppm. Cet indicateur fiable seulement pour des valeurs très supérieures à la valeur limite de 1 ppm (VLEP 8h) ne peut donc être conseillé comme élément de la surveillance médicale de l’exposition [21].
Toxicité expérimentaleToxicité aiguë [2, 18, 19]
La toxicité aiguë du chlorure de vinyle est faible ; cette substance a essentiellement un effet narcotique.
La DL50 par voie orale chez le rat est supérieure à 4000 mg/kg. La CL50 est de 294 mg/L chez la souris, 390 mg/L chez le rat, 595 mg/L chez le cobaye et 295 mg/L chez le lapin pour une exposition de 2 heures.
Les signes observés chez le rat et la souris sont :
- une incoordination musculaire accompagnée de crampes et de convulsions ;
- une narcose qui fait suite à un état d’hyperexcitabilité ;
- des troubles respiratoires se terminant par une apnée.
Les études histologiques ont mis en évidence des atteintes hépatiques et rénales ; à forte concentration (200 000 ppm, 30 min), le chlorure de vinyle induit une inflammation du tractus respiratoire (hyperémie, œdème et hémorragies pulmonaires) chez le rat, la souris et le cobaye.
Irritation
Une salivation intense et un larmoiement sont notés chez les animaux exposés à de fortes concentrations de chlorure de vinyle gazeux (375 - 7000 mg/L). Les effets cutanés, observés lors du contact avec du chlorure de vinyle liquide (érythème, œdème, brûlures), seraient dus à une évaporation rapide au contact avec la peau.
Toxicité subchronique, chronique [18, 19]
Le chlorure de vinyle, en exposition répétée ou prolongée, est toxique pour le foie et les reins des animaux.
Le foie et les reins sont les principaux organes cibles ; les atteintes hépatiques (nécrose, kystes, altérations cellulaires) et rénales (augmentation de poids, néphrose tubulaire) apparaissent chez plusieurs espèces.
Une exposition chronique à forte concentration (30 000 ppm, 4 h/j, 5 j/sem, 12 mois) agit sur le système nerveux central du rat (ataxie, baisse de la réponse aux stimuli externes, perturbation de l’équilibre), les examens histopathologiques révèlent une dégénérescence de la matière grise et blanche ainsi que du cervelet. La NOAEL est de 5000 ppm, 7 h/j, 5 j/sem, pendant 12 mois.

Tableau 2. Doses sans effet observé sur le foie et les reins
Effets génotoxiques [18, 19]
Le chlorure de vinyle est mutagène dans les tests pratiqués in vitro et in vivo.
Le chlorure de vinyle a fait l’objet de nombreuses études et différents tests se sont révélés positifs ; l’adjonction d’activateurs métaboliques augmente la réponse mutagène.
In vitro
- réponse positive aux tests de mutation sur bactéries, champignons, insectes et cellules de mammifère ;
- induction d’aberrations chromosomiques et d’échanges entre chromatides sœurs dans les cellules de mammifère ;
- mise en évidence de lésions de l’ADN par un test de réparation.
In vivo
- pas d’augmentation de la létalité dominante chez la drosophile, le rat ou la souris ;
- induction d’aberrations chromosomiques dans les cellules de moelle osseuse du hamster ;
- micronoyaux dans les cellules de moelle osseuse de souris ;
- lésion de l’ADN, alkylation et formation d’adduits dans le foie du rat et de la souris.
Les métabolites, oxyde de 2-chloroéthylène et 2-chloroacétaldéhyde, seraient responsables de l’effet génotoxique par l’intermédiaire d’adduits (éthéno-guanine) formés avec l’ADN.
Effets cancérogènes [18, 19, 22]
Le chlorure de vinyle est cancérogène par inhalation et par ingestion pour plusieurs espèces animales ; il est classé cancérogène pour l'Homme par le CIRC et l'Union européenne (respectivement groupe 1 et catégorie 1A).
Testé par différentes voies d’administration, le chlorure de vinyle a induit des lésions tumorales chez le rat, la souris et le hamster. Différents types de tumeurs ont été retrouvés : tumeurs et angiosarcomes hépatiques (3 espèces), néphroblastomes (rat), neuroblastomes (rat), tumeurs pulmonaires (souris), mélanomes (hamster), tumeurs de la glande de Zymbal (rat) et de la glande mammaire (rat et souris). Les angiosarcomes ont été constatés au niveau du foie, mais aussi d’autres localisations (thymique, intra-abdominale). Ils apparaissent à partir de 5,6 mg/kg/j chez le rat mâle et 17 mg/kg/j chez la femelle ; les nodules néoplasiques hépatiques sont observés à partir de 5,6 mg/kg/j chez le mâle et 1,8 mg/kg/j chez la femelle.
Effets sur la reproduction [18, 19]
Le chlorure de vinyle ne modifie pas la fertilité et n'est pas tératogène ; cependant, il est fœtotoxique à des doses toxiques pour les mères. L'éthanol augmente ces effets fœtotoxiques.

Tableau 3. Doses sans effet observé sur la reproduction
Fertilité
Des lésions, associées à une baisse du taux de spermatocytes, ont été observées dans les tubes séminifères et l’épithélium spermatogène du rat exposé à des concentrations supérieures à 100 ppm (6 h/j, 6 j/sem pendant 12 mois). Cependant, aucun effet n’a été montré sur la fertilité dans une étude sur deux générations exposées à des concentrations allant jusqu’à 1100 ppm.
Développement
L’inhalation de 50 à 2500 ppm de chlorure de vinyle, 7 h/j durant la période d’organogenèse de rats, souris et lapins, n’a pas entraîné d’effet tératogène mais, à forte concentration, la mortalité maternelle et fœtale est importante. Des retards d’ossification sont notés chez le rat et la souris à partir de 500 ppm (voir Tableau 3).
Toxicité sur l’HommeL'exposition à de fortes concentrations de chlorure de vinyle monomère provoque une dépression du système nerveux central et une irritation cutanée et muqueuse. Lors d'expositions répétées, on observe une atteinte osseuse et vasculaire caractéristique ainsi que des troubles hépatodigestifs. Le chlorure de vinyle entraîne la formation d'angiosarcomes hépatiques. Aucun effet sur la reproduction n'est rapporté.
Toxicité aiguë [4, 23, 24]
Lors d’inhalation de quantités très importantes, supérieures à 1000 ppm, l’effet principal est une dépression du système nerveux central, parfois précédée d’un état d’euphorie. Sont rapportés : vertiges, désorientation, somnolence et céphalées. Si l’exposition persiste, une perte de connaissance parfois mortelle peut être constatée.
Une irritation modérée du tractus bronchique peut survenir en cas d’exposition à de très fortes concentrations. Quelques lésions de la peau (brûlures du second degré) ainsi que des atteintes cornéennes réversibles ont été constatées après projections de chlorure de vinyle liquéfié. Ces lésions sont vraisemblablement en grande partie liées à une hypothermie provoquée par le contact d’un gaz liquéfié.
Toxicité chronique [4, 23, 24]
Les troubles provoqués par le chlorure de vinyle ont été bien décrits chez les ouvriers occupés à nettoyer les cuves de polymérisation et soumis à de fortes expositions généralement supérieures à 100 ppm. Une série de symptômes caractéristiques a été nommée par certains « maladie du chlorure de vinyle » et associe :
- somnolence et asthénie ;
- atteinte trophique cutanée et osseuse caractérisée par une destruction des os des doigts ou acroostéolyse (mais l’atteinte d’autres os est possible), un syndrome de Raynaud et une sorte de sclérose cutanée (sclérodermie). Les examens angiographiques peuvent objectiver une atteinte vasculaire de type inflammatoire des artères, artérioles et capillaires ;
- signes digestifs évocateurs d’un ulcère avec des nausées et une anorexie. Il existe fréquemment une hépatite qui est caractérisée par une hépatomégalie puis une cytolyse suivie d’un stade de fibrose ou de cirrhose; elle peut s’accompagner d’une splénomégalie [25 à 27].
Les anomalies biologiques traduisent une inflammation et des désordres immunologiques : thrombocythémie, augmentation des α-2 globulines et des lymphocytes B, cryoglobulinémie, modification des enzymes hépatiques.
Effets génotoxiques
Dans plusieurs études, on note une augmentation des aberrations chromosomiques dans les lymphocytes de travailleurs exposés au chlorure de vinyle. Ces effets peuvent être liés au niveau d’exposition à la substance[28].
Par ailleurs, on a recherché l’impact du chlorure de vinyle sur des gènes en relation avec le développement de cancers chez l’Homme. Ainsi, dans des populations exposées à des concentrations supérieures à la VME actuelle (1 ppm), on a observé une augmentation de l’expression de l’oncogène K-ras-2 [29] et de la teneur sanguine en protéine p53 mutée (p53 suppresseur de tumeurs)[30, 31].
Effets cancérogènes [22-24, 32]
Depuis le milieu des années 1970, le chlorure de vinyle est connu pour provoquer des angiosarcomes hépatiques. De nombreuses études épidémiologiques ont recherché s’il existait d’autres organes cibles. En 2003, une méta-analyse des études de mortalité par cancer en relation avec l’exposition au chlorure de vinyle a été publiée [33]. Elle montre une augmentation significative des tumeurs hépatiques (angiosarcomes, mais aussi des sarcomes). Dans sa dernière évaluation le CIRC indique qu’il existe des preuves d’une élévation plus importante du risque de tumeurs hépatiques chez des sujets exposés au chlorure de vinyle et ayant des antécédents d’hépatite virale ou une consommation chronique d’alcool.
Il n’y a pas d’augmentation de tumeurs pulmonaires chez les salariés exposés au chlorure de vinyle. Une augmentation de l’incidence des tumeurs pulmonaires malignes a été observée dans une usine de fabrication de PVC (polychlorure de vinyle). Dans ce cas, il existait une coexposition aux poussières de PVC et au chlorure de vinyle [34].
Une étude multicentrique américaine a montré une augmentation significative du risque de tumeurs du tissu conjonctif et des tissus mous. Aucune preuve épidémiologique ne permet de relier l’exposition au chlorure de vinyle et les risques de cancers cérébraux, des tissus lymphatiques, des organes hématopoïétiques ou de mélanomes.
Effets sur la reproduction
Il n’y a pas d’effet néfaste sur la reproduction décrit, dans des études bien conduites, lié à l’exposition au chlorure de vinyle. Des études rétrospectives et prospective de la fin des années 1980 n’ont pas montré d’incidence sur la grossesse de l’exposition des mères au chlorure de vinyle [4, 23].
Cohérence des réponses biologiques chez l'Homme et l'animal