Accès rapides :

Vous êtes ici :

  1. Accueil
  2. Publications et outils
  3. Bases de données
  4. Fiches toxicologiques
  5. Hexachlorobutadiène (FT 121) (rubrique sélectionnée)

Hexachlorobutadiène

Fiche toxicologique n° 121

Sommaire de la fiche

Édition : 2014

Pathologie - Toxicologie

  • Toxicocinétique - Métabolisme

    Chez l’animal, l’hexachlorobutadiène est facilement absorbé par toutes les voies d’exposition. Il est principalement distribué dans le foie et les reins. Son métabolisme passe, entre autres, par une conjugaison au glutathion et génère la formation de métabolites dont certains sont néphrotoxiques ou génotoxiques. L’hexachlorobutadiène inchangé et ses métabolites sont excrétés dans l’air exhalé, les urines et les fèces.

    Aucune donnée n’est disponible chez l’homme.

    Absorption, distribution, métabolisme et excrétion

    Métabolisation/Élimination

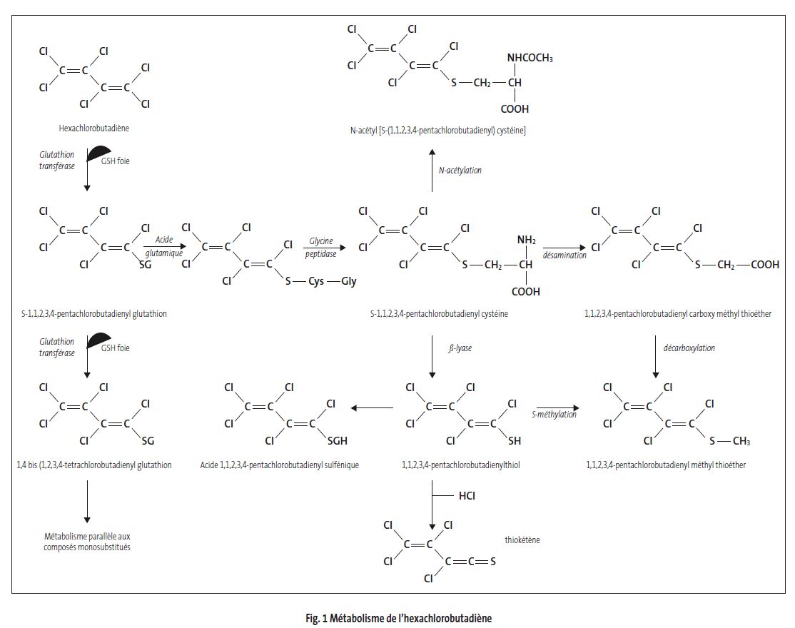
    La plus grande partie de l’hexachlorobutadiène absorbé est transportée vers le foie via la circulation portale, où il est conjugué au glutathion [14] ; chez le rat, des conjugués mono- et bi-substitués ont été identifiés alors que chez la souris, seuls des mono-substitués semblent produits (cf. schéma métabolique figure 1) [15]. Ces réactions de conjugaison avec le glutathion initient une série d’événements métaboliques conduisant à la formation d’intermédiaires réactifs dans les cellules tubulaires proximales du rein.

    Le conjugué 1-(glutathion-S-yl)-1,2,3,4,4-pentachlorobutadiène, formé par conjugaison avec le glutathion dans le foie, n’est pas réactif et est excrété dans la bile et/ou le plasma. Il est ensuite transporté intact jusqu’au rein où il est transformé en conjugué S-cystéine correspondant par la γ-glutamyl-transpeptidase et les dipeptidases rénales. Une fraction substantielle du conjugué S-cystéine, concentrée dans le rein, est métabolisée par la β-lyase tubulaire rénale en une espèce électrophile très instable, qui, après hydrolyse, est éliminée dans les urines sous forme d’acide tétrachlorobuténoïque. Le composé réactif instable est capable de réagir avec les sites nucléophiles des macromolécules cellulaires ; il serait responsable de la néphrotoxicité et de la génotoxicité de l’hexachlorobutadiène. La partie non dégradée du conjugué S-cystéine est acétylée et excrétée dans l’urine sous forme d’acides mercapturiques [1, 15].

    Chez le rat et la souris, il est peu métabolisé et seuls 5 à 20 % de la dose sont excrétés sous forme de métabolites urinaires. Le [14C]-hexachlorobutadiène, 72 heures après ingestion de 1 mg/kg par le rat femelle, est excrété en faible quantité dans l’air expiré sous forme de dioxyde de carbone (3,6 %) et sous forme inchangée (5,3 %), dans l’urine (30 %) et dans les fèces (42 %). À dose plus élevée (50 mg/kg), le mécanisme d’absorption gastro-intestinale est saturé, l’excrétion de dioxyde de carbone et l’élimination urinaire des métabolites diminuent (1,2 % et 11 % respectivement) alors que l’élimination fécale augmente (69 %, dont 27 % d’hexachlorobutadiène non métabolisé) [12]. Après ingestion de 100 mg/kg, les quantités de CO2 excrétées et l’élimination urinaire baissent encore (0,7 % et 9 %) [16].

    Absorption

    Chez l’animal, l’hexachlorobutadiène est facilement absorbé par les voies digestive, cutanée ou inhalatoire. Aucune étude par voie orale n’est disponible mais les données expérimentales disponibles concernant l’excrétion et la distribution de l’hexachlorobutadiène suggèrent une absorption au niveau du tractus gastro-intestinal : à faible dose (1 mg/kg), elle serait rapide et complète [12]. Quatre heures après une exposition à 200 mg/kg (par voie orale), 85 % de l’hexachlorobutadiène est retrouvé dans les intestins [13].

    Distribution

    Il est retrouvé dans le foie et les reins, fixé de façon covalente aux protéines et sa demi-vie est de 22 heures dans ces organes. La quantité fi xée est deux fois plus importante dans les reins que dans le foie. Il est également distribué dans les graisses, les poumons, le sang et le cerveau [12].

    Schéma métabolique

  • Toxicité expérimentale
    Toxicité aiguë [15]

    La toxicité aiguë de l’hexachlorobutadiène varie selon l’espèce considérée, l’âge des animaux et le sexe : ainsi, les souris, les femelles et les jeunes animaux sont les plus sensibles. Le rein est le principal organe cible (atteinte tubulaire). Il est également irritant pour les yeux, la peau et les voies respiratoires et c’est un sensibilisant cutané.

    Par inhalation, une concentration de 161 ppm pendant 53 minutes ou de 34 ppm pendant 7 h 30 est létale pour 100 % des cobayes et sans effet létal pour le rat. Un eff et létal est observé chez le rat exposé pendant 4 à 7 heures, à des concentrations allant de 133 à 500 ppm. La lésion majeure est une atteinte tubulaire rénale, qui apparaît chez des souris exposées à 2,75 ppm pendant 4 heures [17].

    Par voie cutanée, la dose sans eff et létal chez le lapin est de 120 mg/kg pour une durée d’application de 4 heures et de 63 mg/kg pendant 24 heures.

    Par voie orale, une mortalité est observée après administration de doses différentes selon l’espèce, l’âge et le sexe : chez le rat, les adultes et les mâles sont plus résistants que les jeunes et les femelles. Ainsi, la DL50 chez le cobaye est de 90 mg/kg ; chez la souris, les DL50 sont comprises entre 65 et 80 mg/kg ; chez le rat, elles s’étendent de 46 à 65 mg/kg chez les jeunes, et de 200 à 580 mg/kg chez les adultes. Une nécrose rénale et une augmentation des niveaux de lactate déshydrogénase et de béta-glucosaminidase sont observées chez des rats recevant 100 mg/kg d’hexachlorobutadiène administrés en continu pendant 24 heures [18].

    Irritation, sensibilisation [1]

    Localement, l’hexachlorobutadiène pur appliqué pendant 24 heures sur la peau de lapin provoque un érythème modéré réversible en deux semaines. Instillé dans l’oeil du lapin, il induit une conjonctivite catarrhale modérée. L’examen microscopique après 7 jours montre une kératite épithéliale en phase de réversibilité. La récupération est totale en deux semaines.

    Un test de maximisation réalisé chez le cobaye a montré des résultats positifs chez tous les animaux testés : l’hexachlorobutadiène possède un potentiel de sensibilisation cutanée [4].

    Par inhalation, l’irritation des muqueuses respiratoires se traduit par une diminution de 50 % de la fréquence respiratoire chez des souris exposés à 211 ppm pendant 5 minutes.

    Toxicité subchronique, chronique

    Par voie orale, l’hexachlorobutadiène est néphrotoxique et l’intensité de ses effets dépend de l’espèce et du sexe. Des effets hépatiques sont aussi rapportés mais pour des doses supérieures à celles entraînant les effets rénaux. Par inhalation, les reins et le système lymphatique sont atteints.

    Chez le rat, l’administration de 30 mg/kg/j pendant 30 jours dans la nourriture est à l’origine d’une nécrose et d’une dégénérescence des cellules épithéliales tubulaires rénales, des cellules en phase régénérative sont également observées [15]. Pour des doses inférieures, une diminution du pouvoir de concentration des urines se traduit par une baisse des taux d’urée (mâles, 20 mg/kg/j ; femelles, 1,25 mg/kg/j), une cytomégalie diff use des cellules tubulaires (5 mg/kg/j) et une diminution des taux de créatinine (seulement chez les femelles, 5 mg/kg/j) [19]. Dans le cas d’une exposition de 13 semaines par gavage, l’atteinte rénale apparaît pour une dose de 2,5 mg/kg/j chez les femelles et 15 mg/kg/j chez les mâles, avec diminution du pouvoir de concentration urinaire [20]. Au cours d’expositions chroniques, l’aspect et le poids des reins sont aussi modifi és : ils prennent un aspect rugueux et tacheté, avec augmentation du poids relatif [21]. Des signes hépatiques (modifi cations du poids du foie, des activités enzymatiques et histologiques) sont également constatés, mais pour des concentrations supérieures à celles occasionnant des eff ets rénaux [15].

    Chez la souris, des doses orales de 40 mg/kg/j dans l’alimentation, pendant 14 jours, induisent des signes de toxicité neurologique (léthargie, sensibilité à la lumière et/ou incoordination), un ralentissement de la prise de poids corporel, une augmentation du poids des reins et une mortalité de 100 % après 7 jours. À l’examen histopathologique, on observe une nécrose tubulaire rénale, une nécrose des hépatocytes et des tissus lymphoïdes (ganglions lymphatiques, rate et thymus) ainsi que des lésions dégénératives des tubes séminifères (présence de cellules géantes syncitiales). Une exposition chronique à des doses plus faibles (jusqu’à 0,2 mg/kg/j pendant 13 semaines) n’entraîne pas de mortalité mais un ralentissement de la prise de poids corporel et de l’augmentation du poids des reins, accompagné de cellules tubulaires en phase de régénération plus nombreuses chez les femelles que chez les mâles ; aucune anomalie n’est observée dans les tissus lymphoïdes [22].

    Très peu d’informations sont disponibles par inhalation. Des dommages non précisés ont été observés au niveau des tubules proximaux de rats exposés à des vapeurs d’hexachlorobutadiène (25 ppm/j pendant 15 jours) ; les reins apparaissaient pâles et gonfl és. Pour des concentrations supérieures (100 ppm/j pendant 15 jours), une dégénérescence des tubules corticaux est observée, avec régénérescence de l’épithélium [23].

    Effets génotoxiques

    In vitro, l’hexachlorobutadiène ne donne des résultats positifs au test d’Ames qu’en présence d’activateur métabolique enrichi en facteurs nécessaires à son métabolisme. L’hexachlorobutadiène augmente la fréquence des échanges entre chromatides soeurs, mais pas celle des aberrations chromosomiques. In vivo, aucun effet génotoxique n’est mis en évidence. Certains métabolites sont mutagènes in vitro et sont capables de se fixer à l’ADN.

    L’hexachlorobutadiène est peu ou pas mutagène dans le test d’Ames, avec ou sans activation métabolique.
    Un effet mutagène sur les bactéries a été observé en présence d’activateur métabolique enrichi en fractions subcellulaires et cofacteurs requis pour le métabolisme de l’hexachlorobutadiène in vivo (microsomes de foie, glutathion et fractions subcellulaires rénales). Certains métabolites hépatiques sont mutagènes pour Salmonella typhimurium dans le test d’Ames en présence d’activateur métabolique extrait de rein de rat. L’hexachlorobutadiène, avec ou sans activation métabolique, augmente la fréquence des échanges entre chromatides soeurs (à partir de 1,4 μg/ml), mais pas celle des aberrations chromosomiques dans les cultures de cellules ovariennes de hamster chinois.

    In vivo, l’hexachlorobutadiène n’induit pas de modification cytogénétique dans les cellules de moelle osseuse de rat, ni de mutation létale récessive chez la drosophile. Aucune mutation létale dominante n’est observée chez des rats exposés à des concentrations comprises entre 10 et 50 ppm pendant 5 jours. La fréquence d’aberrations chromosomiques, localisées au niveau des cellules de moelle osseuse de rats exposés à 10 ppm pendant 5 jours ou à 20 mg/kg/j pendant 150 jours, reste inchangée par rapport aux animaux non exposés [15, 21].

    L’un des métabolites de l’hexachlorobutadiène, le cystéine-S-yl pentachlorobutadiène, induit des réparations de l’ADN dans les cellules rénales de porc et des liaisons croisées ADN-ADN. In vivo, chez la souris, il se fixe préférentiellement à l’ADN mitochondrial du foie et du rein.

    Effets cancérogènes [15]

    Les données disponibles sont insuffisantes pour permettre une évaluation satisfaisante de l’action cancérogène de cette substance chez l’animal. L’induction de tumeurs rénales se produit uniquement à des doses supérieures au seuil de néphrotoxicité.

    C’est un cancérogène rénal chez le rat. Administré par voie orale (20 mg/kg/j pendant 2 ans), il induit des tumeurs rénales chez 23 % des mâles et 15 % des femelles. L’examen histologique révèle le développement d’adénomes et d’adénocarcinomes unilatéraux ou bilatéraux au niveau des tubules rénaux, associés ou non à des métastases pulmonaires. On note également une hyperplasie épithéliale tubulaire.

    In vitro, l’hexachlorobutadiène induit la transformation morphologique des cellules embryonnaires de hamster syrien en culture.

    Effets sur la reproduction
    Fertilité

    Aucun effet sur la fertilité n’est rapporté dans les quelques études disponibles.

    Par inhalation, l’hexachlorobutadiène ne modifie pas la fertilité de l’un ou l’autre sexe. Chez des souris exposées à 10 ppm d’hexachlorobutadiène, aucune influence sur la morphologie des spermatozoïdes n’est observée [15]. Chez des rates exposées du 6e au 20e jour de gestation à 15 ppm, 6 h/j, aucun eff et n’est rapporté sur le nombre de sites d’implantation, de résorptions ou de foetus vivants [24]. Au cours d’une étude subchronique (14 jours), des lésions dégénératives des tubes séminifères (présence de cellules géantes syncitiales) ont été observées à l’autopsie des souris exposées à 40 mg/kg/j d’hexachlorobutadiène dans l’aliment, effet probablement non spécifique de la substance (100 % de mortalité à cette dose en 7 jours) [22].

    Par voie orale, des rates exposées à 150 mg/kg/j pendant 10 semaines deviennent stériles alors qu’à 15 mg/kg/j, aucun effet n’est rapporté concernant la taille moyenne des portées ou le taux de résorptions [20]. Aucune modification des indices de fertilité, de gestation, de viabilité ou de lactation, que ce soit chez les rats mâles ou femelles exposés à 20 mg/kg/j pendant 148 jours [21]. De même, aucun effet n’est observé au niveau des paramètres spermatiques de souris exposées à 19 mg/kg/j pendant 13 semaines [22].

    Développement [21, 24]

    Au niveau du développement des nouveau-nés, seule une diminution de leur poids moyen est observée en présence de signes de toxicité maternelle.

    À forte dose, chez le rat, par voie orale (20 mg/kg/j dans la nourriture, avant et pendant la gestation et la lactation) ou respiratoire (15 ppm/j, du 6e jour au 20e jour de gestation), l’hexachlorobutadiène entraîne un eff et toxique (perte de poids corporel) pour la mère et les nouveaunés (diminution du poids moyen) à la naissance et/ou au sevrage. Aucun effet embryotoxique ou tératogène n’a été observé.

  • Toxicité sur l’Homme

    L’hexachlorobutadiène est une substance irritante pour la peau et les muqueuses oculaires et respiratoires. Aucun cas de sensibilisation cutanée ou respiratoire n’a été publié. Les données disponibles sont insuffisantes pour évaluer les effets de cette substance en cas d’exposition chronique et d’éventuels eff ets cancérogènes, mutagènes et toxiques pour la reproduction chez l’homme.

    Toxicité aiguë [3]

    L’hexachlorobutadiène est irritant pour la peau et les muqueuses. Après une exposition importante, des atteintes oculaires rapidement réversibles ont été décrites, associant larmoiement, douleur oculaire et photophobie.

    Aucun cas de sensibilisation cutanée ou respiratoire n’a été publié à ce jour.

    Toxicité chronique [3, 15]

    Divers troubles tels que des hypotensions artérielles, des anomalies cardiaques, des bronchites chroniques, des atteintes neurologiques et des hépatites chroniques ont été rapportés chez des vignerons exposés de façon épisodique à l’hexachlorobutadiène lors d’opérations de fumigations. Cependant, la responsabilité de l’hexachlorobutadiène dans ces effets ne peut être établie en raison de l’existence de co-expositions.

    Une augmentation de la concentration sérique de certains sels biliaires sans modification de la concentration des sels biliaires totaux ni de la fonction hépatique a été mise en évidence chez des salariés exposés de façon chronique à l’hexachlorobutadiène à des concentrations comprises entre 0,005 et 0,02 ppm. La portée des résultats de cette étude est toutefois très limitée compte tenu de la taille réduite de l’effectif étudié et de l’absence de donnée concernant d’éventuelles modifications morphologiques ou histologiques du foie. Par ailleurs, l’effet observé est de signification douteuse et ne peut être formellement imputé à l’hexachlorobutadiène seul en raison de l’existence potentielle de co-expositions à divers solvants chlorés tels que le perchloroéthylène et le tétrachlorure de carbone [25].

    Après exposition prolongée et répétée, des céphalées ont été signalées.

    Effets génotoxiques [3]

    Une augmentation des taux d’aberrations chromosomiques a été mise en évidence dans les lymphocytes circulants de salariés exposés à l’hexachlorobutadiène dans le secteur de la production par rapport à des témoins non exposés. Toutefois, cette étude comporte des faiblesses d’ordre méthodologique qui limitent la portée des résultats.

    Effets cancérogènes

    Aucune donnée n’est disponible chez l’homme.

    Effets sur la reproduction

    Aucune donnée n’est disponible chez l’homme.

  • Cohérence des réponses biologiques chez l'Homme et l'animal
EN SAVOIR PLUS SUR LES FICHES TOXICOLOGIQUES