Pathologie - Toxicologie
-
Toxicocinétique - Métabolisme [9, 12-14, 23-26, 31-34]
Le dichlorvos est rapidement absorbé par toutes les voies, transformé et éliminé sous forme de métabolites principalement dans les urines mais aussi dans les fèces et l'air expiré.
Absorption, distribution, métabolisme et excrétion
Le dichlorvos est rapidement absorbé après ingestion, passage cutané ou inhalation. Sa transformation rapide ne permet pas une quantification de l’absorption ; cependant, les données d’excrétion indiquent qu’au moins 85 % d’une dose orale sont absorbés. Après absorption, le dichlorvos est transporté par le sang vers les tissus. Le dépôt tissulaire varie selon le sexe et l’espèce: rat mâle dans les reins, rat femelle dans le sang et les ovaires, souris dans les poumons, les testicules et les graisses.
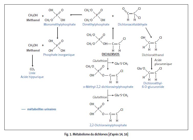
Deux voies métaboliques hépatiques sont proposées pour la transformation du dichlorvos (fig. 1): l’une est dépendante du glutathion; l’autre, qui est la voie majeure, ne l’est pas. Les études avec des molécules radiomarquées ont montré que :
- le 32P]-dichlorvos est éliminé dans l’urine sous forme de diméthylphosphate (50-85 %), d’o-méthyl-2,2-dichlorovinylphosphate, de monométhylphosphate et de phosphate inorganique ;
- le [14C]-dichlorvos et le [36Cl]-dichlorvos sont éliminés, dans l’air expiré, sous forme de CO2 et dans l’urine sous forme d’acide hippurique (8,3 %), d’urée (3,1 %), de 2,2-dichlorovinylméthylphosphate (10,9 %) et de 2,2-dichloroéthyl-β-D-glucuronide (27 %).
Schéma métabolique

Mode d'actions
Le dichlorvos inhibe l’activité enzymatique de l’acétylcholinestérase (AchE) par fixation covalente sur l’enzyme. L’activité enzymatique est restaurée par une synthèse de novo de l’enzyme ou, à un moindre degré, par déphosphorylation spontanée de l’enzyme inhibé. Pendant la phase initiale d’exposition, à faible dose, l’activité AchE baisse jusqu’à atteindre un état stationnaire correspondant à l’équilibre entre l’inhibition et la synthèse de novo. Cet état est maintenu sans effet cumulatif même si l’exposition demeure constante. Dans le même temps, une tolérance se développe vis-à-vis des effets fonctionnels de l’inhibition de l’AchE.
Surveillance Biologique de l'exposition
Les activités des cholinestérases plasmatiques et intraérythrocytaires sont les indicateurs utilisés pour la surveillance des travailleurs exposés aux organophosphorés, témoins des effets des expositions cumulées des semaines précédentes ou d’une surexposition aiguë.
La corrélation entre baisse des cholinestérases et effets toxiques n’est pas toujours bonne car ces derniers dépendent de l’importance de la chute des cholinestérases mais aussi de la rapidité de cette chute[10].
Le dosage du diméthylphosphate (métabolite du dichlorvos) dans les urines est proposé pour la surveillance biologique des sujets exposés au dichlorvos. Ce dosage n’est pas spécifique (diméthoate, malathion...) et semble mal corrélé à l’intensité de l’exposition.
Le dosage du dichlorvos dans le sang a aussi été proposé mais n’est pas utilisable en raison de la demi-vie plasmatique très courte du produit.
Toxicité expérimentaleToxicité aiguë [12, 13]
Le dichlorvos est fortement toxique en exposition aiguë chez un grand nombre d'espèces et par différentes voies. En tant qu'inhibiteur de l'acétylchlolinestérase (AchE), il provoque principalement des effets neurologiques.
La DL50 par voie orale est comprise entre 17 et 80 mg/kg chez le rat, 61 et 135 mg/kg chez la souris, 10 et 12,5 mg/kg chez le lapin et égale à 100 mg/kg chez le chien.
La DL50 cutanée est de 75 mg/kg chez le rat, 206 mg/kg chez la souris et 107 mg/kg chez le lapin.
La CL50 est de 15 et 13 mg/m3/4 h respectivement chez le rat et la souris.
Le dichlorvos inhibe l’activité acétylcholinestérasique dans le sang, les érythrocytes et le système nerveux; l’inhibition est maximale durant la première heure et est suivie d’une récupération rapide. Cette inhibition entraîne l’apparition de symptômes typiques d’un effet parasympathomimétique : hypersalivation, larmoiements, nausées, tremblements, incoordination, fibrillation musculaire, ataxie, dyspnée, rythme cardiaque ralenti ; à forte dose apparaissent inconscience, incontinence, convulsions et létalité par arrêt respiratoire. Les signes cliniques apparaissent dès la première heure et sont complètement réversibles en 24 heures.
Le dichlorvos est potentiellement neurotoxique; il induit, chez le poulet, 24 heures après l’exposition, une inhibition supérieure à 80 % de l’activité de l’AchE cérébrale et 70 % de l’activité NTE (neuropathy target esterase) cérébrale. L’inhibition de la NTE est associée, pour les pesticides organophosphorés, au développement d’une neurotoxicité retardée; cependant, dans le cas du dichlorvos, aucune neurotoxicité retardée n’est induite. Il est probable que la plus grande affinité de cette molécule pour l’AchE fait que le seuil d’inhibition de la NTE nécessaire au développement de la neurotoxicité retardée n’est pas atteint [18].
Un effet neurotoxique aigu réversible est mis en évidence, chez le rat (88 mg/kg par gavage), au niveau central par une modification de l’électroencéphalogramme (augmentation de la fréquence et baisse de l’amplitude) et au niveau périphérique par la baisse de la vitesse de conduction nerveuse, et l’augmentation des périodes réfractaires [19].
Le dichlorvos est modérément irritant pour la peau; des chats portant un collier imprégné de dichlorvos développent, en plus des symptômes systémiques, une dermite de contact.
L’application dans l’œil du lapin provoque rougeur et gonflement mais pas de lésion de la cornée.
Toxicité subchronique, chronique [14, 20, 21]
La toxicité du dichlorvos en cas d'expositions répétées ou prolongées est, comme lors d'expositions aiguës, liée à son activité anticholinestérasique.
Une exposition orale répétée ou prolongée au dichlorvos induit des effets identiques à ceux d’une exposition aiguë :
- baisse de l’activité acétylcholinestérasique plasmatique, érythrocytaire et cérébrale (à partir de 2,5 mg/kg/j chez le rat, 10 mg/kg/j chez la souris et 3,2 mg/kg/j chez le chien pendant 2 ans dans la nourriture) ;
- symptômes parasympathomimétiques apparaissant à des doses de 10 à 100 fois plus élevées.
Par inhalation, la dose sans effet toxique est de 0,05 mg/m3 pendant 2 ans chez le rat[14]. Chez le chien, le dichlorvos, à forte concentration, provoque des lésions hépatiques et des hémorragies pulmonaires[20].
Effets génotoxiques [12-14, 20, 21]
Le dichlorvos donne des résultats positifs dans certains essais in vitro (sans activation métabolique) mais n'est pas génotoxique in vivo.
Le dichlorvos est un agent alkylant qui se fixe sur l’ADN des bactéries ou de mammifère in vitro. Il y provoque des mutations géniques (les tests d’Ames, de mutation reverse, du lymphome de souris... sont positifs), et des lésions des chromosomes (cassures de brins d’ADN, aneuploïdie, micronoyaux, aberrations chromosomiques, échanges entre chromatides sœurs, transformation cellulaire). La réponse n’est pas dépendante de la présence d’activateur métabolique.
In vivo, le dichlorvos n’induit pas d’effet génotoxique; les tests de mise en évidence de micronoyaux, de létalité dominante, d’aberrations chromosomiques sur moelle osseuse ou cellules germinales mâles, d’échanges entre chromatides sœurs, etc.. sont négatifs. Son métabolisme, de façon majoritaire par la voie des estérases, conduit à une déphosphorylation plutôt qu’à une déalkylation; en conséquence, pour qu’une alkylation de l’ADN cellulaire in vivo soit possible, il faudrait des concentrations très élevées dépassant le seuil de saturation des estérases sanguines et tissulaires. De telles concentrations sont incompatibles avec la survie des mammifères[22].
Effets cancérogènes [14, 21]
Les études disponibles ont conduit en 1999 les experts européens à ne pas classer le dichlorvos comme agent cancérogène. Le CIRC l'a classé en 1991 dans le groupe 2B.
Aucune tumeur n’a été observée par voie orale après administration dans la nourriture (rat 25 mg/kg/j ou chien 11 mg/kg/j, 2 ans) ou par inhalation (rat 5 mg/l, 23 h/j, 2 ans)[20].
Après administration par voie orale par gavage, dans l’huile de maïs, le dichlorvos est cancérogène chez le rat et la souris. Il augmente le taux de papillomes à cellules squameuses du pré-estomac chez la souris des deux sexes (20 ou 40 mg/kg/j, 5 j/sem, 103 sem) et celui des adénomes du pancréas exocrine chez le rat des deux sexes (4 ou 8 mg/kg/j, 5 j/sem, 103 sem). Chez le rat mâle, il induit des leucémies à cellules mononuclées aux deux doses précédentes et des tumeurs bénignes du poumon à la forte dose; chez la femelle, il provoque des fibroadénomes mammaires.
Effets sur la reproduction
Le dichlorvos n'est ni embryotoxique ni tératogène à des doses non toxiques pour les mères dans les études réalisées sur différentes espèces animales.
À dose toxique, le dichlorvos induit des perturbations réversibles de la spermatogenèse chez le rat et la souris (baisse de la testostérone, du nombre de spermatogonies et de cellules de Leydig chez le rat jeune, anomalies du sperme chez la souris)[12].
Le dichlorvos traverse la barrière placentaire et inhibe l’acétylcholinestérase fœtale. Il ne provoque pas de fœto- ou d’embryotoxicité à des doses non toxiques pour les mères (rat jusqu’à 25 mg/kg/j dans la nourriture sur 3 générations). Il n’est pas tératogène chez le lapin (jusqu’à 12 mg/kg/j par voie orale ou jusqu’à 6,25 mg/l, 23 h/j, du 1er au 28e jour de gestation par inhalation) ou le rat (jusqu’à 6,25 mg/l, 23 h/j, du 1er au 20e jour de gestation par inhalation), bien que la plus forte concentration par inhalation soit toxique pour les mères[14, 20].
Toxicité sur l’HommeLe dichlorvos, puissant inhibiteur des cholinestérases, est un insecticide organophosphoré extrêmement dangereux. Ses effets, lors de l'exposition chronique, sont peu documentés.
Toxicité aiguë [9, 23, 24, 27, 28, 30, 33, 34]
Les effets d’une surexposition sont parfois graves, potentiellement mortels. Plusieurs cas d’intoxication ont été décrits en milieu professionnel par pénétration cutanée du produit mais aussi par inhalation: ils sont liés le plus souvent à des erreurs de manipulation ou au non-respect des mesures de protection individuelle. Plusieurs cas d’ingestion accidentelle ont aussi été rapportés.
Après administration orale unique chez l’adulte, une inhibition des cholinestérases (d’environ 50 %) est observée dès 2 mg/kg. Des concentrations atmosphériques de 1 mg/m3 de dichlorvos n’induisent une baisse des cholinestérases qu’après 6 heures d’exposition sans autre anomalie clinique ni biologique.
Quelle que soit la voie de pénétration, l’intoxication par le dichlorvos est responsable de symptômes de type cholinergique, apparaissant le plus souvent entre quelques minutes et moins de 12 heures après l’exposition. Ils associent, à des degrés variables, des signes d’intoxication muscarinique et nicotinique. Après inhalation, les symptômes respiratoires et oculaires apparaissent dès les premières minutes ; ils imposent l’arrêt immédiat de l’exposition. Après ingestion, les troubles digestifs (nausées, vomissements, hypersalivation, crampes abdominales, diarrhées) sont les premiers signes d’intoxication muscarinique à apparaître dans les 15 minutes à deux heures. S’y associent asthénie, myosis, hyperlacrymation, sueurs profuses, mictions involontaires, bradycardie, hypotension, dyspnée, douleurs thoraciques. Les signes nicotiniques regroupent faiblesse, fasciculations et crampes musculaires, mouvements involontaires.
Deux types de symptômes font la gravité de ce tableau: les troubles respiratoires parfois de type asthmatiforme, souvent accompagnés d’encombrement bronchique, voire d’œdème bronchioloalvéolaire; les troubles neurologiques associant vision trouble, tremblements, crampes musculaires ainsi que des signes de souffrance du système nerveux central tels une confusion, une anxiété, des convulsions, une ataxie, une paralysie des muscles respiratoires, une encéphalopathie ou même un coma.
Quelques semaines après une intoxication sévère par dichlorvos, plusieurs cas de neuropathies périphériques à type de dégénérescence axonale, parfois réversibles, ont été rapportés.
Un cas de dermatose irritative bulleuse d’apparition rapide (quelques heures), d’évolution lente (guérison en plusieurs semaines), associée à une baisse importante des cholinestérases sans signe d’intoxication systémique a été décrit après projection cutanée d’une solution de dichlorvos.
Toxicité chronique [23, 25, 33]
Des contacts cutanés répétés ou prolongés avec le produit peuvent entraîner des dermatoses irritatives et plus rarement allergiques.
Chez des sujets exposés professionnellement à des concentrations de 0,7 mg/m3/j, pendant 8 mois, on ne retrouve qu’une inhibition modérée des cholinestérases (plus marquée pour les cholinestérases plasmatiques qu’intraérythrocytaires), sans autre anomalie biologique ni symptôme clinique. Au-delà d’une concentration de 0,1 mg/m3/j pendant plusieurs jours chez l’adulte sain ou à des concentrations inférieures chez les sujets porteurs de pathologies hépatiques, il est possible d’observer une inhibition des cholinestérases.
Effets cancérogènes [9, 23, 29, 35-38]
Un auteur rapporte six cas de pancytopénie (dont deux leucémies aiguës lymphoblastiques) survenus chez des enfants, 1 à 28 semaines après avoir été exposés à domicile au dichlorvos et au propoxur pendant moins de 48 heures: la relation avec l’exposition n’est pas clairement établie.
Un excès significatif de leucémies est retrouvé chez des agriculteurs manipulant du dichlorvos, excès d’autant plus important que la fréquence d’utilisation augmente et que le délai depuis la première utilisation est supérieur à 20 ans. De même, un excès de lymphomes non hodgkiniens est observé chez des agriculteurs manipulant du dichlorvos. Dans les deux cas, étant donné les co-expositions à d’autres insecticides, il est difficile d’établir une relation de cause à effet.
Effets sur la reproduction [9, 23, 24]
Quelques études rapportent des cas de malformations chez des enfants de mères exposées pendant leur grossesse à plusieurs insecticides dont le dichlorvos. Ces études sont difficilement interprétables en raison de l’exposition associée à d’autres produits chimiques.
Cohérence des réponses biologiques chez l'Homme et l'animal