Prélèvement : Actif sur cassette
Analyse : CPG détection thermo-ionique
Données de validation : Validation complète
Substances
Informations générales
Propriétés physico-chimiques
| Nom | N° CAS | Formule chimique | Classification CMR |
|---|---|---|---|
| Amitrole | 61-82-5 | C2H4N4 |
R2 |
Plus d'informations
| Nom | Masse molaire | Densité | Synonymes | Fiche toxicologique |
|---|---|---|---|---|
| Amitrole | 84,1 | 3-AMINO-1.2.4-TRIAZOLE |
Principe et informations
La détermination de la concentration en amitrole dans les atmosphères de travail est réalisée par prélèvement de l’air sur un filtre en fibre de quartz, suivi d’une désorption à l'acétone et dérivation à l'aide d'anhydride acétique. Le 3-acétamido-1,2,4-triazole formé est ensuite analysé par chromatographie en phase gazeuse avec un détecteur thermoionique.

Principe de prélèvement et d'analyse
-
État physique
Aérosols (mélange de gaz ou vapeurs / particules) -
Type de prélèvements
Actif -
Nom du dispositif
cassette -
Plus d'informations
-
Technique analytique
CHROMATOGRAPHIE EN PHASE GAZEUSE -
Injecteur
SPLIT/SPLITLESS -
Détecteur
DETECTION THERMOIONIQUE
Domaine d'application
| Substance | Quantité minimum sur le dispositif | Quantité maximum sur le dispositif | Concentration minimum | Concentration maximum | Volume maximum |
|---|---|---|---|---|---|
| Amitrole | 2 µg |
40 µg |
Réactifs
- ACETONE
- ANHYDRIDE ACETIQUE
- TOLUENE
Méthode de prélèvement
Utilisation de la cassette fermée pour le prélèvement d'aérosol
Un dispositif de prélèvement :
Dispositif N°1
-
Type dispositif
CASSETTE 25 mm 2 pièces -
Support ou substrat de collecte
- FILTRE FIBRE DE QUARTZ
-
Commentaires, conseils et consignes

Conditions de prélèvement
-
Débit de prélèvement maxi (L/min)
2 -
Particularités, commentaires, conseils
Maximum 100 L d'air prélevés
Pompe de prélèvement
- Pompe à débit de 1 à 3 L/min
Méthode d'analyse
Principe général de l'analyse en laboratoire
Préparation d'analyse
-
Conditions de conservation avant analyse
L'amitrole piégé sur filtre se dégrade rapidement au cours du temps. Il est donc nécessaire de désorber et dériver l'amitrole le jour-même.
-
Nombre d'étapes de préparation
2 -
Commentaires sur les étapes
Désorption et dérivation
-
Durée de conservation échantillon préparé avant analyse
12 jour(s) -
Conditions de conservation échantillon préparé avant analyse
Le dérivé en solution est stable pendant 12 jours à température ambiante.
Une étape de préparation :
Étape de préparation N°1
-
Solvant ou solution
- ACETONE
-
Type de préparation
Désorption -
Volume
2 mL -
Autres conditions de préparation
A effectuer le jour-même du prélèvement : Le filtre est placé dans un flacon à vis étanche et désorbé par 2 mL d'acétone anhydre.
Dérivation réalisée dans le même temps par ajout de 15 µL d'anhydride acétique.
Agiter manuellement pendant 4 min environ.
-
Commentaires
Préparation de l'acétone anhydre :
Acétone séchée sur tamis moléculaire 5 Å (conditionné pendant 12 heures à 250°C).
Dérivation
-
Moment de la dérivation
lors de la préparation de l’échantillon -
Réactif
ANHYDRIDE ACETIQUE -
Temps de dérivation
1 h -
Nom du dérivé formé et numéro CAS correspondant
Dérivé formé : 3-acétamido-1,2,4-triazole
Description
Une condition analytique :
Condition analytique N°1
-
Technique analytique
- CHROMATOGRAPHIE EN PHASE GAZEUSE
-
Injecteur
- SPLIT/SPLITLESS
-
Colonne
- APOLAIRE
-
Détecteur
- DETECTION THERMOIONIQUE
Étalonnage et expression des résultats
La méthode d'étalonnage indiquée est celle utilisée lors du développement. Elle n'a cependant pas de caractère obligatoire
-
Principe d'étalonnage
externe -
Solvant de l’étalon
- ACETONE
-
Commentaires
L'étalonnage externe est réalisé
soit avec le dérivé d'amitrole, isolé et purifié,
soit par dérivation directe de l'amitrole (dans les mêmes conditions que les échantillons).
Solutions étalons préparées à partir du dérivé d'amitrole isolé et purifié:
La dérivation de l'amitrole est réalisée de la façon suivante :
- mélanger 210 mg d'amitrole à 20 mL d'acétone sèche et 300 µL d'anhydride acétique.
- laisser le mélange sous agitation mécanique pendant une nuit.
Le dérivé obtenu est ensuite purifié :
- évaporer l'acétone à l'évaporateur rotatif,
- ajouter 20 mL de toluène et évaporer à l'évaporateur rotatif ( le toluène entraîne l'acide acétique formé lors de la dérivation),
- ajouter 10 mL d'acétone et évaporer à l'évaporateur rotatif,
- ajouter 20 mL de toluène et évaporer à l'évaporateur rotatif.
Le dérivé isolé et purifié est conservé en flacon hermétiquement bouché, à température ambiante.
Sa pureté est contrôlée par chromatographie en phase gazeuse (présence d'un seul pic chromatographique).
Solutions étalons:
Le 3-acétamido-1,2,4-triazole est solubilisé dans l'acétone (7,5 mg de dérivé dans 5 mL d'acétone) puis des quantités aliquotes de cette solution-mère sont diluées dans l'acétone de façon à couvrir une gamme de concentrations allant de 1 à 20 µg/mL.
Solutions étalons préparées par dérivation directe de l'amitrole:
Peser 10 mg d'amitrole (quantité exactement connue) dans 10 mL d'acétone.
En prélever des aliquotes de 20 et 40 µL, ajouter 2 mL d'acétone anhydre et 15 µL anhydride acétique: on obtient des solutions étalons à 15 et 30 µg/mL de dérivé.
Diluer au 1/10 la solution-mère d'amitrole.
Prélever des aliquotes de 20 et 100 µL de cette solution diluée, ajouter 2 mL d'acétone anhydre et 15 µL anhydride acétique: on obtient des solutions étalons à 7,5 et 1,5 µg/mL de dérivé.
-
Calcul de la quantité de substance sur le dispositif
Calcul de la quantité d’amitrole sur le dispositif de prélèvement :
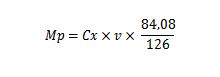
La quantité Mp (µg) d’amitrole sur le dispositif de prélèvement est donnée par :

avec : Cx (µg/mL) : concentration de dérivé dans le désorbat
v (mL) : volume du solvant de désorption des échantillons
84,08 : masse moléculaire de l'amitrole
126 : masse moléculaire de son dérivé (3-acétamido-1,2,4-triazole)
Historique
| version | Date | Modification(s) faisant l'objet de la nouvelle version |
|---|---|---|
| 062 | jusqu'au 28/06/2013 | Création et mises à jour |
| 062/V01.01 | 15/07/2013 | Nouvelle présentation Révision de la terminologie |
| M-337/V01 | mars 2016 | Mise en ligne |