Pathologie - Toxicologie
-
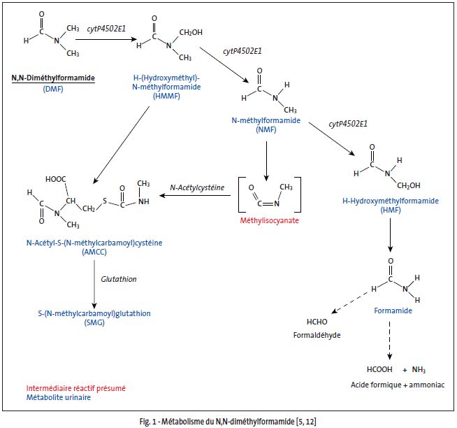
Toxicocinétique - Métabolisme [5]
Le N,N-diméthylformamide est bien absorbé par toutes les voies de pénétration chez l’animal comme chez l’Homme. Il est métabolisé dans le foie et rapidement excrété dans l’urine essentiellement sous la forme du métabolite N-(hydroxyméthyl)-N-méthylformamide (HMMF).
Chez l'animal
Absorption
Chez l'animal, l'absorption du N,N-diméthylformamide est importante par voie orale (chez le rat, > 60 % de la dose), par inhalation et par voie cutanée (57 mg/cm2/8 h sous forme liquide par la queue chez le rat). L'absorption cutanée des vapeurs peut, dans certains cas, excéder l'absorption pulmonaire.
Distribution
Après absorption, le N,N-diméthylformamide se distribue essentiellement dans le sang, le foie et les reins. Sa demi-vie plasmatique est de 1 à 2 heures chez le singe, après exposition par inhalation [18]. Chez la rate gestante, une dose de 100 mg/kg administrée par voie orale au 12e ou au 18e jour de gestation traverse la barrière placentaire ; entre 0,5 et 4 heures après l'exposition, l'utérus, le placenta, les embryons et le liquide amniotique contiennent 1,5 % de la dose, cette valeur décline rapidement à moins de 0,1 % après 24 heures. Le taux de N,N-diméthylformamide ou de ses métabolites dans l'embryon ou le fœtus est semblable à celui du plasma maternel [19]. Le passage transplacentaire a également été montré après exposition par inhalation.
Métabolisme
Le N,N-diméthylformamide est métabolisé dans le foie ; la voie métabolique majeure est une oxydation par les mono-oxygénases à cytochrome P450. Le cytochrome spécifique de cette réaction est le P450 2E1.
L'oxydation mène à un certain nombre de métabolites (cf. fig. 1) qui sont excrétés dans l'urine sous forme libre ou conjuguée. Le métabolisme est saturable : des rats et des souris exposés par inhalation (250 - 500 ppm pendant 6 heures) présentent une augmentation de la concentration plasmatique en N-(hydroxyméthyl)-N-méthylformamide (HMMF) qui n'est pas en relation avec la concentration d'exposition (8 et 28 fois respectivement) alors que la concentration plasmatique en N-méthylformamide baisse. À très forte concentration (> 6000 mg/m3/4 h), le N,N-diméthylformamide est capable d'inhiber son propre métabolisme en inhibant la déformylation du HMMF en NMF.
Une exposition prolongée (6 h/j, 5 j/sem, 2 sem) augmente la capacité des animaux à métaboliser le N,N-diméthylformamide. Le singe présente également une saturation du métabolisme mais sans baisse du taux de N-méthylformamide. Ces différences de métabolisme entre espèces peuvent être à l'origine des différences de toxicité.
Une interaction métabolique a été montrée entre le N,N-diméthylformamide et l'éthanol: le DMF inhiberait l'alcool et l'aldéhyde deshydrogénases, provoquant une augmentation de la concentration plasmatique en éthanol et acétaldéhyde.
Schéma métabolique

Excrétion
La transformation et l'excrétion du DMF sont rapides chez le rongeur : 83 % de la dose de 14C]-DMF, injectée par voie intrapéritonéale (i.p.) chez la souris, sont retrouvés dans l'urine en 24 heures. Cette excrétion comprend 5 % de DMF inchangé, 56 % de HMMF (décomposé en NMF au cours du dosage) et 18 % de composés non identifiés. Chez le rat (injection i.p., 1 ml [14C]-DMF/kg), 70 % des molécules radiomarquées injectées sont éliminées dans l'urine en 72 heures, dont 10,5 % de DMF inchangé, 35 % de HMMF ou NMF, 3,5 % de HMF et environ 20 % de métabolites non identifiés. La N-acétyl-S-méthylcarbamoyl-cystéine (AMCC) est dosée à un taux de 1 à 5 % dans l'urine de souris, de hamster et de rat, 72 heures après une exposition par voie i.p. La quantité excrétée est inversement proportionnelle à la dose d'exposition [20].
Après exposition orale (100 mg/kg), le rat excrète 60 - 70 % de la dose dans les urines en 48 heures et 3 - 4 % dans les fèces [19].
Après exposition unique par inhalation chez le chien (87 mg/m3/6 h ou 6 015 mg/m3/3 h) ou le rat (63 mg/m3/ 6 h ou 513 mg/m3/3 h), l'excrétion urinaire de NMF après 24 heures est fonction de la concentration: nulle à la faible concentration et présente à forte concentration ainsi que la molécule inchangée. Après exposition répétée du rat (63 mg/m3 (6 h/j, 5 j/sem pendant 4 semaines) ou du chien (177 mg/m3, 6 h/j, pendant 5 jours), le taux de NMF excrété est constant pendant l'exposition, avec une quantité de DMF inchangé très faible [6].
Chez l'Homme
Le N,N-diméthylformamide est absorbé par voie pulmonaire (60 à 90 % de la quantité inhalée), par voie cutanée de façon rapide et parfois très importante (jusqu'à 40 % en fonction de la température et de l'hygrométrie) mais aussi par voie digestive. La demi-vie sanguine du DMF est de 1 - 2 heures. Il est métabolisé comme chez l'animal et excrété dans l'urine avec une demi-vie d'élimination totale d'environ 23 heures [4]. Une faible proportion du DMF absorbé est éliminée sous forme inchangée dans les urines (0,3 à 1,5 %) et dans l'air expiré (2 à 28 % selon les auteurs). Tous les métabolites sont éliminés dans les urines : après une exposition à 30 mg/m3, l'élimination urinaire se partage en 0,3 % de composé parental, 22,3 % de HMMF + NMF, 13,2 % de HMF et 13,4 % de AMCC avec des demi-vies d'élimination de 2, 4, 7 et 23 heures respectivement. Après des expositions répétées (30 mg/m3, 8 h/j pendant 5 jours), l'élimination urinaire, 16 heures après la dernière exposition, est composée d'environ 14 % de HMMF, 32 % de HMF et 54 % d'AMCC. Le N-méthylformamide urinaire s'accumule tout au long de la semaine s'il existe une exposition cutanée associée.
La biotransformation du N,N-diméthylformamide est diminuée par l'administration préalable d'éthanol. Une moindre métabolisation du produit a été mise en évidence chez les buveurs consommant en moyenne 66,5 g d'éthanol par jour.
Surveillance Biologique de l'exposition [21]
Le dosage du NMF total (N-méthylformamide formé dans l'organisme + N-méthylformamide provenant de la dégradation du N-hydroxyméthyl-N-méthylformamide au cours de l'analyse) dans les urines de fin de poste de travail est le reflet de l'exposition du jour même. Cet indicateur est bien corrélé avec les concentrations atmosphériques de DMF, sauf en cas de pénétration percutanée associée ; il est spécifique, absent des urines des sujets non exposés.
Le dosage de la N-Acétyl-S-(N-méthylcarbamoyl)cystéine (AMCC) dans les urines en fin de poste et fin de semaine de travail est le reflet de l'exposition moyenne des jours précédents, surtout utile lors d'une exposition cutanée prédominante. L'AMCC semble un meilleur marqueur biologique que le NMF car il est très sensible et davantage lié à l'apparition d'effets toxiques.
Des valeurs biologiques d’interprétation (VBI) pour le milieu de travail sont proposées par différents organismes pour ces deux indicateurs.
Des données plus limitées sont disponibles pour d’autres indicateurs biologiques d’exposition au DMF.
Les dosages urinaires en fin de poste de travail du DMF, bien corrélé à l'intensité de l'exposition et du formamide ont également été proposés. Le DMF urinaire ne représente qu'une faible fraction de la dose absorbée et le formamide est retrouvé dans les urines de sujets non professionnellement exposés. Le dosage des adduits N-méthylcarbamoyl à l'hémoglobine (NMHb) dans le sang est un indicateur sensible, bien correlé à l'exposition et aux effets toxiques du DMF, utile pour apprécier l'exposition au DMF des mois précédents. Chez les sujets non professionnellement exposés, les concentrations sont voisines de 1,8 nmol/g Hb.
Toxicité expérimentale [5]Toxicité aiguë
Le N,N-diméthylformamide est peu toxique en exposition aiguë ; il est irritant pour les yeux mais pas pour la peau et n’est pas sensibilisant.
Le DMF présente une faible toxicité aiguë pour l'animal (cf. Tableau I). Les principaux symptômes sont apathie, perte d'appétit et vertiges après exposition orale, respiration irrégulière et coma précédant la mort, après inhalation. L'organe cible est le foie (modification de fonction, congestion, nécrose centrolobulaire) ; une régénération a été observée après l'arrêt de l'exposition.
Voie
Espèce
DL50/CL50
Orale
Rat
Suivant l’âge :
nouveau-né : < 1000 mg/kg
14 jours: 1400 mg/kg jeune
adulte : 4000 mg/kg adulte : 3200 - 7600 mg/kg
Souris
3700 - 6800 mg/kg
Lapin
> 5 000 mg/kg
Cobaye
1700 - 3400 mg/kg
Gerboise
3929 mg/kg
Chien
940 mg/kg
Cutanée
Rat
3160 -> 11 520 mg/kg
Souris
> 5000 mg/kg
Lapin
1500 - 4720 mg/kg
Cobaye
5100 mg/kg
Inhalatoire
Rat
9400 ppm/2 h - 15 000 mg/m3
Cobaye
9400 mg/m3/2 h
Tableau I. DL50/CL50 du N,N-diméthylformamide [1, 2, 5, 20].
- Irritation
Le N,N-diméthylformamide pur n'est pas irritant pour la peau du lapin ou du rat, mais il est irritant pour les yeux du lapin (rougeur, conjonctivite modérée à sévère avec, chez quelques animaux, une opacité réversible de la cornée).
- Sensibilisation
Le DMF donne des résultats douteux dans le test du ganglion local (LLNA) chez la souris. Il n'est pas sensibilisant chez le cobaye[1].
Toxicité subchronique, chronique [5, 22]
L’effet toxique le plus souvent noté d’une exposition répétée au N,N-diméthylformamide, toutes espèces et voies d’administration confondues, est une atteinte hépatique (stéatose puis nécrose centrolobulaire).
Une exposition chronique confirme les effets hépatiques aigus du N,N-diméthylformamide chez l'animal : à faible dose une modification des enzymes et une augmentation de poids du foie, à forte dose des modifications histopathologiques dégénératives et une cytolyse hépatique entraînant une augmentation des enzymes hépatiques dans le sérum. Une exposition du rat pendant 2 ans par inhalation (0, 25, 100, 400 ppm, 6 h/j, 5 j/sem) provoque une augmentation significative de l'hypertrophie hépatocellulaire centrolobulaire, une accumulation hépatique de lipofuscine et d'hémosidérine ainsi qu'une nécrose hépatocellulaire (chez les femelles). Chez la souris, une exposition identique induit également une hyperplasie des cellules de Kupffer et une accumulation de pigments. Les doses sans effet observé pour le foie sont, par inhalation, ≤ 25 ppm chez le rat et la souris et > 500 ppm chez le singe; par voie orale, elles sont de 20 à 28 mg/kg/j chez le rat et la souris.
Effets génotoxiques [5, 20, 23]
Le N,N-diméthylformamide est souvent utilisé comme solvant dans les tests de mutagenèse et de génotoxicité. La plupart des tests pratiqués ont produit des résultats négatifs in vitro et in vivo.
Tests effectués in vitro :
- mutation sur bactéries (S. Typhimurium TA98, TA100, TA1535, TA1537, TA1538 ± activateurs métaboliques, E. coli, S. cerevisiae) : 20 résultats négatifs, 2 douteux;
- mutation cellules de mammifères (cellules de lymphome de souris ± activateurs métaboliques) : 3 résultats négatifs, 1 faiblement positif;
- aberrations chromosomiques : cellules ovariennes de hamster chinois ± activateurs métaboliques, cellules de foie de rat en culture et lymphocytes humains en culture (résultat négatif), lymphocytes humains périphériques (faiblement positif) ;
- échanges entre chromatides sœurs (cellules ovariennes de hamster chinois ±activateurs métaboliques, cellules de moelle osseuse de souris et lymphocytes humains en culture) : négatifs ;
- synthèse non programmée de l'ADN (fibroblastes humains et hépatocytes de souris et de hamster négatifs ; hépatocytes de rat douteux) ;
- réparation de l'ADN hépatocytes de souris, de hamster et d'homme : négatifs ;
- transformation cellulaire cellules embryonnaires de hamster syrien : négatif.
Tests effectués in vivo : tous négatifs
- mutations létales récessives chez la drosophile ;
- létalité dominante chez la souris (i.p., 380 mg/kg) et le rat (inhalation, 30 et 300 ppm 6 h/j, 5 j) ;
- micronoyaux dans la moelle osseuse de souris (i.p., 0,2 - 20 - 2000 mg/kg ou 404 - 808 - 1615 mg/kg) ;
- aberrations chromosomiques dans la moelle osseuse de rat ;
- modification de la morphologie spermatique chez la souris (i.p., 900 mg/kg, 5 inj.).
Effets cancérogènes [5, 23]
Le N,N-diméthylformamide induit une augmentation des tumeurs hépatiques chez le rat et la souris, suite à des expositions par voie orale et par inhalation.
Le DMF (0 - 25 - 100 - 400 ppm soit 0 - 75 - 300 - 1200 mg/m3, 6 h/j, 5 j/sem) a été étudié par inhalation chez le rat pendant 2 ans et la souris pendant 18 mois. Aucune augmentation du taux de tumeurs n’est rapportée malgré la présence d'hypertrophie hépatique centrolobulaire ; cependant, il faut prendre en compte le fait que la survie des animaux dans cette étude est inférieure à 45 % dans tous les groupes, même les témoins [24]. Au contraire, dans une autre étude, une augmentation dose dépendante des adénomes et des carcinomes hépatocellulaires est mise en évidence (0-200-400-800 ppm, 6 h/j, 5 j/sem, pendant 18 mois chez la souris et 2 ans chez le rat) [25].
Par voie orale, des adénomes et des carcinomes hépatocellulaires sont rapportés chez le rat, suite à une exposition au DMF dans l’eau de boisson en continu pendant 2 ans, (0-800-1600 ppm) [26].
Par voie parentérale, le DMF, utilisé comme solvant d'un essai de cancérogenèse chez le hamster (0,1 ml/sem d'une solution à 50 % par injection intrapéritonéale (i.p.), soit environ 47 mg/kg/injection, pendant 6 à 8,5 mois), n'induit pas d'augmentation du taux de tumeurs.
Il a été classé dans le groupe 2A « probablement cancérogène pour l’Homme » par le CIRC en 2018.
Effets sur la reproduction [5, 20]
Le N,N-diméthylformamide est toxique pour la fertilité des femelles, fœtotoxique et tératogène par toutes les voies d’exposition, à des doses toxiques pour les mères.
Fertilité
Le N,N-diméthylformamide, par inhalation ou par voie orale, n'induit pas de perte de poids ou d'effet histopathologique sur les organes reproducteurs du rat ou de la souris. À des doses ou concentrations sans effet hépatique, aucune modification n'a été observée sur le sperme ou le cycle œstral ; seul un diœstrus prolongé a été observé chez la rate exposée à 800 ppm pendant 13 semaines.
L'accouplement de mâles exposés (30 ou 300 ppm (90 ou 900 mg/m3), 6 h/j pendant 5 jours) avec des femelles non exposées engendre un nombre de fœtus viables réduit, à la faible concentration uniquement. Dans une étude sur deux générations chez la souris (0, 1000, 4000 ou 7000 mg/litre dans l'eau de boisson), la fertilité est réduite aux deux plus fortes concentrations chez les femelles de la génération parentale (F0). Les accouplements croisés ont mis en évidence l'implication de ces dernières dans la reprotoxicité. Tous les petits (F2) nés de l'accouplement de la génération F1 ont un poids corporel et une durée de survie réduits ; la taille des portées est également réduite [27].
Développement
De nombreuses études ont été menées par voie orale, cutanée et inhalatoire. En général, le N,N-diméthylformamide induit essentiellement une fœtotoxicité (baisse du poids fœtal et augmentation du nombre total de variations squelettiques en relation avec la dose ou la concentration) à des doses ou concentrations toxiques pour les mères (baisse de poids et de prise de nourriture) [19]. Par inhalation ou ingestion, il a été trouvé légèrement tératogène ; les malformations n'apparaissent qu'à des doses toxiques pour les mères. Il en est de même par voie cutanée : les malformations ne se manifestent qu'à des doses toxiques pour les mères, sauf chez la souris. Le lapin est l'espèce la plus sensible aux effets du DMF sur le développement (cf. tableau II).
Voie
Espèce
NOAEC/NOAEL
toxicité maternelle
NOAEC/NOAEL
fœtotoxicité
NOAEC/NOAEL tératogenèse
Inhalatoire
Rat Long-Evans
Rat Sprague-Dawley
6 h/j, du 6e au 15e jour de gestation
172 ppm
30 ppm
18 ppm
30 ppm
300 ppm (dose maximale testée)
Lapin, 6 h/j, du 7e au 19e jour de gestation
50 ppm
50 ppm
50 ppm (hernie ombilicale)
Orale
Rat Sprague-Dawley, gavage du 6e au 15e jour de gestation du 6e au 20e jour de gestation
167 mg/kg/j
50 mg/kg/j
167 mg/kg/j
50 mg/kg/j
167 mg/kg/j
300 mg/kg/j (dose maximale testée)
Souris, gavage, du 6e au 15e jour de gestation Souris, eau de boisson, deux générations
551 mg/kg/j
< 219 mg/kg/j
183 mg/kg/j
219 mg/kg/j
183 mg/kg/j (bec-de-lièvre)
820 mg/kg/j (malformations cranio-faciales)
Lapin, gavage, du 6e au 18e jour de gestation
65 mg/kg/j
65 mg/kg/j
44,1 mg/kg/j (hydrocéphalie, hernie ombilicale, ectopie des viscères)
Cutanée
Lapin, 6 h/j, du 6e au 18e jour de gestation
200 mg/kg/j
200 mg/kg/j
200 mg/kg/j
Tableau II. Doses/concentrations sans effet observé du N,N-diméthylformamide pour le développement [5, 19, 20]
Toxicité sur l’HommeLes expositions aiguës ou chroniques provoquent à des degrés divers des troubles neurologiques et digestifs (syndrome douloureux) ainsi surtout qu'une hépatite cytolytique. Les expositions répétées peuvent provoquer une irritation de la peau et des muqueuses oculaire et respiratoire. Les études ne permettent pas de conclure sur les effets génotoxiques ou cancérogènes du DMF. Il n'y a pas de donnée sur les effets sur la reproduction.
Toxicité aiguë [5, 23, 28]
Les intoxications aiguës humaines publiées sont toutes bénignes, probablement parce que les quantités absorbées sont faibles. Le tableau de l'intoxication systémique associe diversement :
- un syndrome neurologique précoce avec céphalées, asthénie, sensations vertigineuses, régressant rapidement à l'arrêt de l'exposition ;
- un syndrome douloureux abdominal fréquent avec épigastralgies, nausées, vomissements, anorexie, troubles du transit, parfois crampes digestives, survenant de quelques heures à 4 jours après l'exposition ;
- une hépatite cytolytique, ou mixte à prédominance cytolytique, survenant 24 heures à 3 jours après la contamination et régressant en quelques jours à quelques semaines;
- un syndrome antabuse, survenant à l'occasion d'une prise d'éthanol quelques heures à quelques jours après le contact avec le N,N-diméthylformamide et marqué par une vasodilatation périphérique prédominant à la face, au cou et à la partie supérieure du tronc, responsable d'une hypotension, d'une tachycardie, de céphalées et de sensations vertigineuses, et s'accompagnant fréquemment de sueurs, de vomissements et d'une sensation d'oppression thoracique.
Le N,N-diméthylformamide pur ou en solution concentrée est modérément irritant pour la peau en cas de contamination brève (dermite marquée par un érythème puis une desquamation locale). Mais il peut produire des lésions cutanées sévères si le contact est prolongé : des brûlures du deuxième degré ont ainsi été observées.
Toxicité chronique [5, 20, 28-31]
Le tableau de l'intoxication systémique en exposition à long terme est semblable à celui observé après une contamination aiguë.
Une hépatite cytolytique est fréquemment notée, témoignant en général d'une exposition à des concentrations élevées. Elle est le plus souvent observée chez les sujets qui ont simultanément un ou plusieurs des trois autres syndromes (neurologique, abdominal, antabuse). Des augmentations des transaminases ont cependant été observées dans des populations exposées professionnellement à des niveaux d'exposition atmosphérique inférieurs à la valeur limite de 30 mg/m3. Les auteurs l'expliquent par des possibles expositions aiguës par voie cutanée ou par inhalation [31].
Les troubles digestifs (épigastralgies, nausées, vomissements, anorexie) sont fréquents; un syndrome antabuse ou une élévation de l'activité des y-GT sont possibles pour des expositions inférieures à 10 ppm.
Le syndrome neurologique (céphalées, asthénie, sensations vertigineuses) est plus rarement rapporté. La survenue d'intoxications subaiguës chez des sujets exposés au long cours pourrait expliquer en partie sa constatation. Cependant, une étude cas-témoins a montré, à l'aide d'une batterie étendue de tests neuropsychologiques, la prévalence d'une altération discrète de diverses fonctions relevant du système nerveux central (mémoire, aptitudes logiques...) dans un groupe de salariés exposés à de faibles concentrations (généralement inférieures à 10 ppm).
Une étude de cohorte a montré un excédent des décès, toutes causes confondues, par cardiopathies ischémiques chez des travailleurs exposés au N,N-diméthylformamide. Toutefois, il n'existait pas de relation dose-effet entre l'exposition au solvant et la mortalité. D'autre part, cette augmentation n'était retrouvée significative que par rapport aux autres salariés de l'entreprise ; aucune différence n'était notée lors de comparaison avec les causes de décès au niveau régional ou national [32].
L'exposition répétée au N,N-diméthylformamide peut être responsable d'une irritation de la peau, des muqueuses oculaires et des voies respiratoires. Des urticaires de contact de mécanisme non immunologique ont également été rapportées.
Les allergies cutanées semblent rares : un seul cas d'eczéma de contact est publié. II n'a jamais été rapporté d'asthme ou de rhinite [28].
Effets génotoxiques [5, 23]
Trois études indiquent une augmentation de la fréquence des aberrations chromosomiques dans les lymphocytes circulants de travailleurs exposés au N,N-diméthylformamide. Dans une de ces études le tabagisme n'a pas été pris en compte, dans l'autre l'augmentation n'est plus retrouvée après 20 mois d'exposition. Une étude cas-témoins signale une augmentation des échanges de chromatides sœurs dans des lymphocytes de femmes exposées au N,N-diméthylformamide. Cette étude est cependant partiellement rapportée. Une autre étude ne retrouve pas de différence entre deux groupes de travailleurs exposés à deux niveaux de concentrations différentes. Aucun groupe témoin n'était présent.
Effets cancérogènes [5, 23]
Deux publications signalent la survenue d'un excès de tumeurs testiculaires dans des populations exposées au N,N-diméthylformamide en même temps qu'à d'autres nuisances chimiques.
Une étude de cohorte a montré un excès de mélanomes, de cancers oropharyngés et de cancers de la prostate chez des travailleurs ayant utilisé du N,N-diméthylformamide.
Une étude cas-témoins n'a pas mis en évidence de liaison entre l'exposition au N,N-diméthylformamide, d'une part, et la survenue de mélanomes, de cancers oropharyngés, hépatiques, testiculaires et prostatiques, d'autre part.
Divers biais gênent l'interprétation des résultats de ces études.
Effets sur la reproduction
Il n'existe pas de donnée publiée chez l'être humain.
Cohérence des réponses biologiques chez l'Homme et l'animal