Pathologie - Toxicologie
-
Toxicocinétique - Métabolisme [13, 14]
Le tétrahydrofurane pénètre par voies respiratoire, orale et cutanée. Il se distribue largement, est transformé essentiellement en CO2 et éliminé dans l’air expiré (inchangé et CO2) et dans l’urine (inchangé).
Chez l'animal
Absorption
Le tétrahydrofurane est absorbé par voies respiratoire (60 à 70 % de la quantité inhalée), cutanée et digestive. Quelle que soit la voie d'entrée, le passage sanguin est rapide (dès 15 minutes après l'exposition) et important. Chez le rat, le pic plasmatique est atteint après 4 à 8 heures selon la dose, mais sa valeur n'est pas proportionnelle à la dose administrée. L'absorption est plus rapide chez la souris ; le pic plasmatique est atteint 15 minutes après une exposition orale à 50 mg/kg. Il y a peu d'information sur le passage cutané du tétrahydrofurane. Il a été constaté in vitro avec de la peau humaine dermatomée [15]. In vivo, seule la toxicité observée en est la preuve : les rats exposés sur une surface de peau supérieure à 10 % de la surface totale absorbent des concentrations létales (concentration sanguine égale à 3000 - 4000 mg/L).
Distribution
Après exposition orale, les plus fortes concentrations sont dans le foie, le tissu adipeux et les surrénales chez le rat, les surrénales, le foie et les reins chez la souris avec une accumulation dans le tissu adipeux. Immédiatement après exposition par voie respiratoire, les concentrations de tétrahydrofurane dans les organes du rat sont, par ordre de concentration décroissante, sang > cerveau, reins, cœur > foie, rate, thymus, poumons ; les différences entre tissus disparaissent 3 heures après l'exposition. Immédiatement après une exposition prolongée (12 semaines), la distribution est : thymus > rate > cerveau, cœur > poumons > sang > foie, reins. Une accumulation dans la rate est notée après 6 semaines d'exposition et dans le thymus après 12 semaines ; les concentrations reviennent à la normale après arrêt de l'exposition. La demi-vie sanguine du tétrahydrofurane est d'environ 5 heures chez le rat et le lapin ; chez le rat et la souris exposés à du tétrahydrofurane radiomarqué, la demi-vie sanguine des molécules radiomarquées est de 50 heures environ.
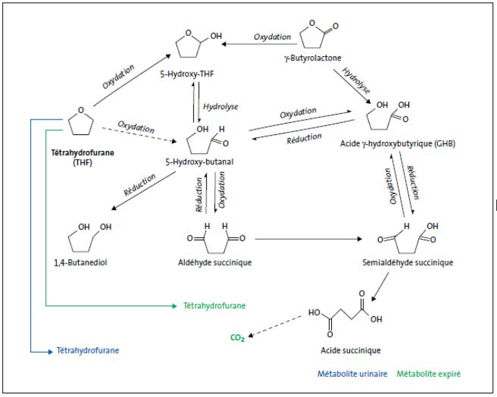
Métabolisme
La détoxication serait due à une série d'oxydations et de réductions (voir fig. 1). Les intermédiaires étant instables, on ne peut que préfigurer le métabolisme. L'oxydation d'un carbone adjacent à l'oxygène produirait la γ-butyrolactone, puis par ouverture du cycle, l'acide γ-hydroxybutyrique, dont les effets neurologiques centraux cliniques et électriques sont semblables à ceux du tétrahydrofurane [16].
Schéma métabolique

Fig. 1 Métabolisme probable du tétrahydrofurane [14]
Excrétion
Le CO2 est le métabolite final majeur : 58,2 à 74,6 % chez la souris mâle-femelle et 47 à 48 % chez le rat, ce pourcentage diminue avec l'augmentation de la dose suggérant une saturation du métabolisme à forte dose ; les substances organiques volatiles expirées (probablement du tétrahydrofurane non métabolisé) représentent 17,8 à 24,5 % de la dose administrée.
Chez le rat et la souris, le tétrahydrofurane, éliminé inchangé, représente 3 à 5 % de la dose administrée dans les urines et 1 % dans les fèces.
Chez l'Homme
Le tétrahydrofurane est bien absorbé par voie respiratoire (60% en conditions normales et 70% en cas de travaux lourds) et légèrement absorbé par la peau ; les vapeurs absorbées par la peau, après exposition de volontaires avec et sans masque respiratoire à 150 ppm pendant 4h, correspondent à 1 - 2 % de la charge corporelle. Il n’y a pas de donnée sur l’absorption gastrointestinale.
La distribution et le métabolisme n’ont pas été étudiés chez l’Homme, mais un passage sanguin ainsi qu’une élimination urinaire du tétrahydrofurane ont été montrés. Des expositions de 8 heures à des concentrations jusqu’à 200 ppm montrent que le taux de tétrahydrofurane dans l’air expiré, le sang ou l’urine décline rapidement après l’exposition et atteint la ligne de base en environ 12 heures.
Surveillance Biologique de l'exposition [13]
Le tétrahydrofurane urinaire en fin d’exposition ou fin de poste est l’indicateur à privilégier. Les concentrations mesurées en fin de poste reflètent l’exposition du jour même. C’est un indicateur spécifique, absent des urines des sujets non exposés.
Des valeurs biologiques d’interprétation pour le milieu professionnel sont établies sur la base de la relation entre les concentrations urinaires et atmosphériques de tétrahydrofurane.
Toxicité expérimentaleToxicité aiguë [3, 14]
Quelle que soit la voie d’exposition, le tétrahydrofurane a un effet irritant local et un effet dépresseur sur le système nerveux central.
Voie
Espèce
DL50/CL50
Durée
Inhalatoire
Rat
180 - 243 mg/L
1 h
78 mg/L
2 h
63 mg/L
3 h
54 - 66 mg/L
4 h
53 mg/L
8 h
Souris
72 mg/L
2 h
Chien
74 mg/L
8 h
Orale
Rat
1650 - 4430 mg/kg
Souris
2000 - 2500 mg/kg
Lapin
3120 mg/kg
Cobaye
2300 - 2600 mg/kg
Chat
3120 mg/kg
Tableau I : Toxicité aiguë du tétrahydrofurane pour l'animal[3].
Symptômes
Les effets systémiques de l'intoxication aiguë par le tétrahydrofurane sont une irritation locale, une dépression du système nerveux central objectivée par une somnolence passagère, des myoclonies et des convulsions [17].
Chez le rat, l'administration par inhalation à des concentrations supérieures à 15 mg/L pendant 3 heures provoque une irritation locale avec œdème ou opacité cornéenne, sécrétion de mucus ou hémorragie de la muqueuse nasale. Par la suite surviennent catalepsie, coma et spasmes musculaires cloniques. La récupération de l'effet sédatif est relativement rapide après la fin de l'exposition (24 heures après une exposition à 2500 ppm, soit 7,5 mg/L pendant 2 heures). Les premiers signes de narcose apparaissent, en exposition cutanée chez le rat et le lapin, à partir de 600 mg/L et, en exposition orale chez le lapin, à partir de 1000 mg/kg.
Chez le lapin, l'administration orale d'une solution à 20 % est responsable d'une gastrite hémorragique et d'ulcérations de l'estomac.
Irritation - sensibilisation
Chez le lapin, on observe une irritation qui est dépendante de la concentration. À 10 %, le tétrahydrofurane n'entraîne aucun effet sur la peau, mais il induit dans l'œil une conjonctivite réversible en 20 minutes. À 20 %, l'action sur la peau est modérée alors qu'au niveau de l'œil on note conjonctivite aiguë, kératite et œdème cornéen. À 50 %, l'action sur l'œil devient encore plus sévère (hémorragies de la conjonctive) et elle reste simplement irritante sur la peau de cet animal [3].
En phase vapeur, des signes d'irritation de la peau, des muqueuses oculaires et respiratoires sont notés dès 200 ppm chez le rat. À 5000 ppm, l'irritation des voies aériennes et des muqueuses oculaires du lapin est sévère [17].
Le tétrahydrofurane n'est pas sensibilisant pour la peau du cobaye [18].
Toxicité subchronique, chronique [14, 19]
En cas d'exposition répétée ou prolongée, le tétrahydrofurane est également irritant local et dépresseur pour le système nerveux central. Ce dernier effet diminue avec la prolongation de l’exposition.
L'exposition orale (dans l'eau de boisson) répétée au tétrahydrofurane entraîne à la forte dose, chez le rat (0 - 1 - 10 - 100 - 1000 mg/L pendant 4 semaines), une irritation gastrique avec anisocaryose (inégalité de taille des noyaux) des hépatocytes et inclusions cytoplasmiques dans les tubes rénaux et chez la souris (0 - 40 - 100 mg/L pendant 45 jours), baisse de poids, paralysie des membres antérieurs, hyperleucocytose et baisse du taux d'hémoglobine. La NOAEL est de 100 mg/L pour le rat et de 40 mg/L pour la souris.
Par inhalation, les rats et les souris exposés pendant 90 jours (0 - 66 - 200 - 600 - 1800 - 5000 ppm, 6 h/j, 5 j/sem) présentent, en plus de l'irritation des voies respiratoires, une dépression du système nerveux central (narcose) pendant l'exposition aux fortes concentrations (narcose, ataxie) dont l'intensité diminue lorsque l'exposition est prolongée et dont la durée est liée à la concentration. Chez le rat, à 5 000 ppm, il y a également baisse de poids relatif et absolu du thymus et de la rate, modification des paramètres sanguins hématologiques et biochimiques et augmentation de poids du foie chez les femelles. Les souris montrent une augmentation de poids du foie et une baisse de poids du thymus chez les mâles à partir de 600 ppm. À l'autopsie, on observe, chez les souris exposées à la forte concentration, une cytomégalie centrolobulaire du foie, minimale à modérée dans les deux sexes, une dégénérescence du cortex interne des surrénales et une atrophie de l'utérus chez les femelles. La NOAEL est de 1800 ppm pour le rat et de 600 ppm pour la souris.
Effets génotoxiques [19]
Le tétrahydrofurane est considéré comme non mutagène dans les tests pratiqués in vitro et in vivo.
Le potentiel génotoxique du tétrahydrofurane a été évalué dans de nombreux tests in vitro et in vivo, avec ou sans activateurs métaboliques (cf. tableau II). Presque tous les résultats sont négatifs, quelques essais ont des résultats équivoques.
Test
Cellules/Animal
Résultat (avec ou sans activation métabolique)
In vitro
Mutation génique
Bactéries
S. typhimurium TA1535, TA1537, TA98, TA100, TA1538
Escherichia coli WP2, WP2 uvrA
-/-
Clastogenèse
Micronoyaux
Cellules embryonnaires de hamster syrien
Non testé/-
Clastogenèse
Aberrations chromosomiques
Cellules ovariennes de hamster chinois
-/±
Lésions de l'ADN
Échanges entre chromatides sœurs
Cellules ovariennes de hamster chinois
-/-
Transformation cellulaire
Cellules BALB/c-3T3
-/Non testé
Cellules embryonnaires de hamster syrien
-/Non testé
Cellules NIH/3T3
-/Non testé
In vivo
Mutation génique
Létalité récessive liée au sexe
D. mélanogaster
-
Clastogenèse
Micronoyaux
Erythrocytes de souris (inhalation)
±
Clastogenèse
Aberrations chromosomiques
Moelle osseuse de souris
-
Lésions de l'ADN
Échanges entre chromatides sœurs
Moelle osseuse de souris
-
Lésions de l'ADN
Synthèse non programmée de l'ADN
Hépatocytes de souris
-
Tableau II. Effets génotoxiques du tétrahydrofurane
Effets cancérogènes [19]
Le tétrahydrofurane est cancérogène pour le rat mâle (adénomes/carcinomes rénaux) par un mécanisme vraisemblablement spécifique et pour la souris femelle (néoplasmes hépatiques) ; il n’est pas cancérogène pour le rat femelle ou la souris mâle.
Une exposition pendant 2 ans au tétrahydrofurane (0 - 200 - 600 - 1 800 ppm 6 h/j, 5 j/sem) ne diminue ni la survie ni le poids corporel du rat. Le taux d'adénomes ou de carcinomes (ou combinés) de l'épithélium du tube rénal chez le mâle augmente, aux deux plus fortes concentrations, au-delà de la valeur des témoins historiques. Cet effet, qui n'est pas statistiquement significatif, pourrait être dû à une néphropathie chronique progressive sévère liée, chez le rat, à un processus régénératif avec présence d'alpha-2-microglobuline ; ce mécanisme n'existe pas chez l'Homme [20].
Une exposition de 2 ans, dans les mêmes conditions, affecte la survie de la souris mâle à la forte concentration sans modifier le poids corporel. Les souris mâles exposées à 1800 ppm sont dans un état narcotique pendant l'exposition et jusqu'à 1 heure après arrêt de l'exposition. Le taux et le nombre de néoplasmes hépatocellulaires par animal sont significativement augmentés chez les femelles exposées à 1800 ppm. Chez le mâle, à la même concentration, on note une augmentation des néphropathies et des lésions non néoplasiques du tractus urogénital.
Effets sur la reproduction [21]
Le tétrahydrofurane n’est pas toxique pour la fertilité et la reproduction du rat et de la souris à des concentrations non toxiques pour les mères. Il n’est pas tératogène.
Dans une étude sur deux générations, des rats, exposés pendant au moins 70 jours au tétrahydrofurane dans l'eau de boisson (0 - 1 000 - 3 000 - 9 000 ppm soit env. 100 - 300 - 700 mg/kg/j mâles et femelles avant accouplement, 100 - 300 - 800 mg/kg/j femelles pendant la gestation, 200 - 500 - 1 300 mg/kg/j femelles pendant la lactation), ont une perte de poids ainsi qu'une diminution de la consommation de nourriture à la forte dose. À cette dose, la prise de poids des petits pendant la lactation est réduite dans les deux générations et l'ouverture des paupières est retardée à la 1re génération ; il n'y a pas de malformation. La NOAEL est de 9000 ppm pour la fertilité et de 3 000 ppm pour la toxicité parentale et le développement [22].
Des rates gestantes, exposées au tétrahydrofurane (0 - 600 - 1 800 - 5000 ppm, 6 h/j, 7 j/sem, du 6e au 19e jour de gestation) présentent des signes de toxicité maternelle (perte de poids, baisse de la prise de poids et du poids de l'utérus) à la forte concentration. Il n'y a aucun effet sur l'embryon ou le fœtus jusqu'à 1 800 ppm ; à la forte concentration, le poids fœtal est réduit. Il n'y a pas de malformation.
Des souris gestantes, exposées aux mêmes concentrations du 6e au 17e jour de gestation, montrent des effets toxiques dès 1800 ppm (narcose, létalité à 5000 ppm, baisse de poids, corporel et utérin, et de la prise de poids). À cette concentration et au-dessus, le nombre de petits vivants par portée est réduit avec une augmentation correspondante du taux de résorption (95 % à 5000 ppm) ; les fœtus survivants ont un retard d'ossification des sternèbres. Il n'y a ni baisse de poids fœtal ni malformation.
Toxicité sur l’HommeL'exposition aiguë est responsable de troubles neurologiques (céphalées, somnolence) et d'une irritation respiratoire et oculaire. Le contact cutané provoque des éruptions cutanées. Lors d'exposition répétée, des dermatoses chroniques ainsi que des atteintes hépatiques et neurologiques (polynévrites, psycho syndrome organique) ont pu être rapportées. Aucune étude de qualité suffisante ne montre d'augmentation de cancers chez des salariés exposés au tétrahydrofurane.
Toxicité aiguë [23-27]
Les intoxications aiguës ou subaiguës humaines par le tétrahydrofurane n'ont fait l'objet que d'un petit nombre de publications. Les symptômes le plus souvent rapportés, après une exposition prolongée à des concentrations atmosphériques élevées, sont des céphalées, une irritation des muqueuses oculaires et respiratoires, un syndrome ébrieux et une élévation transitoire des transaminases. Des éruptions cutanées érythémateuses des parties découvertes semblent assez fréquentes chez les travailleurs exposés : elles sont dues au tétrahydrofurane lui-même et/ou aux peroxydes qui se forment lorsque le solvant s'oxyde au contact de l'oxygène de l'air. Dans un cas, des convulsions sont survenues au réveil d'une anesthésie à l'enflurane, chez un homme exposé préalablement au tétrahydrofurane.
En cas d'ingestion, on peut observer des douleurs digestives, des nausées et des vomissements, puis des troubles de conscience avec un coma parfois mortel. Une atteinte hépatique et rénale est alors retrouvée [28].
Toxicité chronique
Une élévation de l'activité de la γ-glutamyltransférase et de celle de l'alanine-aminotransférase a été observée chez un cordonnier exposé au tétrahydrofurane, mais aussi au trichlorométhane et au trichloroéthylène. La ponction biopsie hépatique a montré une stéatose modérée et une sidérose. L'exposition simultanée à plusieurs solvants et le caractère succinct de l'observation empêchent d'évaluer la responsabilité du tétrahydrofurane [29].
Une neuropathie périphérique distale, sensitivomotrice est apparue chez un homme de 55 ans, exposé depuis 2 ans au tétrahydrofurane et à la 2-butanone, avec des protections insuffisantes. Le malade n'était pas alcoolique et ne prenait pas de médicament. La 2-butanone n'a pas de neurotoxicité périphérique. La neuropathie a guéri en 3 mois à l'arrêt de l'exposition [30]. Tous ces éléments rendent probable la responsabilité du tétrahydrofurane.
On ne dispose d'aucune étude épidémiologique publiée de populations humaines exposées au tétrahydrofurane. Une étude de cohorte non publiée, rapportée par l’ACGIH, ne montre pas d'augmentation significative de l'incidence des cancers œsophagiens, cette étude est cependant trop limitée pour permettre de conclure [31].
Le tétrahydrofurane peut être responsable, comme de nombreux solvants organiques, d'atteintes cutanées à type de dermoépidermite irritative récidivante, avec sécheresse de la peau, et d'atteintes neurologiques (psycho syndrome organique) se manifestant notamment par une ébriété, des sensations de vertige, des troubles de la mémoire et de l'humeur.
Cohérence des réponses biologiques chez l'Homme et l'animal