Pathologie - Toxicologie
-
Toxicocinétique - Métabolisme [9]
L’éthylbenzène est bien absorbé par toutes les voies d’exposition. Il se distribue largement et, après métabolisation, il est éliminé dans l’urine en un grand nombre de métabolites. Chez l’homme, les métabolites principaux sont l’acide mandélique et l’acide phénylglyoxylique.
Chez l'animal
Absorption
L'absorption de l'éthylbenzène, après exposition du rat par inhalation, est rapide. Le taux mesuré avec des molécules radiomarquées est de 44 % de la concentration d'exposition.
Par voie orale, l'absorption est rapide et importante. Le taux de métabolites urinaires, après 24 heures, est de 72 à 92 % de la dose administrée (593 mg/kg) chez le lapin.
Chez le rat, 84 % de la dose orale (30 mg/kg) est éliminée dans les urines en 48 heures.
Le taux de pénétration percutanée, in vivo, chez le rat, est estimé à 0,002-0,004 mg/cm2/h. Le pic sanguin, en relation avec la concentration, est atteint après 1 heure d'exposition.
Distribution
Chez l'animal, après exposition par inhalation, l'éthylbenzène se distribue dans tout l'organisme, les quantités les plus importantes étant situées au niveau du foie, du tractus gastro-intestinal et de la carcasse. Un taux plus faible est mesuré dans le tissu adipeux. Il peut traverser la barrière placentaire. Après application cutanée chez la souris, 4,5 % des molécules d'éthylbenzène radiomarquées restent dans la zone d'application et 15,5 % dans la carcasse [10].
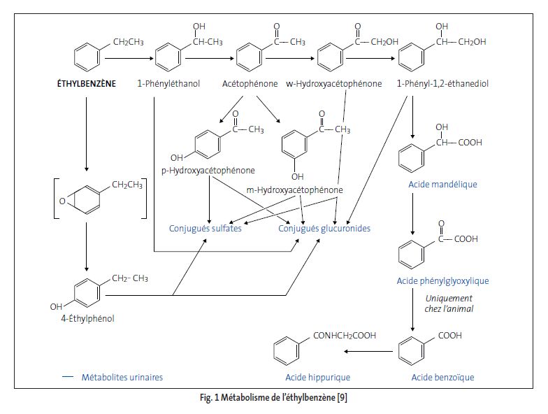
Métabolisme
L'éthylbenzène, en présence de mono-oxygénases à cytochrome P450, subit d'abord une oxydation progressive de sa chaîne latérale puis des conjugaisons menant à un grand nombre de métabolites (cf. fig. 1). Le métabolisme de l'éthylbenzène n'est pas différent après exposition inhalatoire ou orale ; cependant, le pourcentage de chaque métabolite varie avec l'espèce et le sexe.
Schéma métabolique

Excrétion
L'éthylbenzène est essentiellement excrété dans l'urine sous forme métabolisée. Après exposition (chez le rat : 1000 mg/m3 pendant 6 heures par inhalation ou 30 mg/kg par voie orale), environ 82-83 % de la dose absorbée sont excrétés dans l'urine (dont 13 % dans les 6 premières heures), 8 % dans l'air expiré sous forme inchangée et 0,7-1,5 % dans les fèces. Des différences quantitatives et qualitatives d'élimination des métabolites existent entre les espèces :
- chez le rat, les métabolites principaux sont l'acide mandélique (23 %), l'acide hippurique (34 %), l'acide phénylglyoxylique et le 1-phényléthylglucuronide ;
- chez le lapin, au contraire, de grandes quantités de conjugués glucuronides (32 %) sont éliminées dans l'urine et seulement 2 % d'acide mandélique.
Surveillance Biologique de l'exposition
Le dosage des acides mandélique et phénylglyoxylique dans l'urine peut être utilisé pour la surveillance biologique de l'exposition. Voir Recommandations § II.
Toxicité expérimentale [9-12]Toxicité aiguë
L’éthylbenzène a une faible toxicité aiguë chez l’animal, quelle que soit la voie d’exposition (cf. tableau I). Il est essentiellement narcotique et irritant.
Espèce
Voie
DL50/CL50
Rat
orale
3 500-4 700 mg/kg
inhalatoire
17 200 mg/m3/4 h (4 000 ppm)
Lapin
cutanée
77 400 mg/kg
15 433 mg/kg
Tableau I. DL50/CL50 de l'éthylbenzèneLa dose létale, après exposition par inhalation (6 h/j pendant 4 jours), est variable selon les espèces : elle est de 1200 ppm chez la souris, 2400 ppm chez le rat. Aucune létalité n'est observée chez le lapin à ces concentrations.
Symptômes
L'effet primaire d'une exposition aiguë, à forte concentration, est neurologique (dépression du système nerveux central et ataxie). La concentration narcotique minimale est, chez le rat, de 9370 mg/m3 (2180 ppm) [12]. Les organes cibles sont les poumons (congestion), le foie (congestion, modifications enzymatiques et histologiques) et les reins (augmentation de poids, modifications enzymatiques et histologiques). Un effet transitoire a été observé sur le système hématologique. Le rat et la souris sont plus sensibles que le lapin, le cobaye et le singe.
Des rats, exposés pendant 3 jours à 2000 ppm, présentent des modifications du taux cérébral de dopamine et de noradrénaline.
Irritation
L'application directe d'éthylbenzène sur la peau du lapin provoque une irritation de la peau, caractérisée par des rougeurs, des vésicules cutanées et des exfoliations.
L'éthylbenzène sous forme vapeur provoque des larmoiements chez l'animal. Appliqué sous forme liquide dans l'œil du lapin, il entraîne une légère irritation de la conjonctive.
Une exposition par inhalation induit une irritation sensorielle. La RD50 chez la souris (concentration qui diminue la fréquence respiratoire de 50 %) est de 1432 ppm ou 4060 ppm selon la souche [9].
Toxicité subchronique, chronique [9-12]
Chez l’animal, les organes cibles de l’éthylbenzène, après une exposition chronique par voie respiratoire, sont le foie, le rein et le système auditif.
Une augmentation, fonction de la dose, du poids absolu du foie chez la souris et du poids relatif et absolu du foie et des reins chez le rat, sans modification morphologique, a été observée après exposition à de fortes concentrations d'éthylbenzène (jusqu'à 750 ppm, de 4 semaines à 2 ans). Au niveau hépatique et rénal, les animaux présentent une augmentation des protéines microsomiales et du taux des enzymes impliquées dans le métabolisme des xénobiotiques. Chez le cobaye (600 ppm) et le singe (600 ppm), l'augmentation de poids des organes est limitée. Il n'y a pas d'effet toxique hépatique ou rénal chez le lapin jusqu'à des concentrations de 1610 ppm. Après exposition par voie orale (0-13,6-136-408-680 mg/kg par gavage, 5 j/sem, pendant 6 mois), le rat femelle montre une légère augmentation de poids du foie et des reins avec un gonflement des cellules parenchymateuses du foie et de l'épithélium tubulaire rénal.
Des résultats contradictoires ont été obtenus chez différentes espèces au niveau du système hématologique : augmentation significative du nombre de plaquettes chez le rat mâle (782 ppm, pendant 4 semaines), et diminution significative du nombre total de leucocytes chez la femelle. Ces paramètres ne sont pas modifiés chez la souris et le lapin exposés à la même concentration ou à des concentrations supérieures.
Le tableau II montre les doses sans effet toxique observé (NOAEL) pour les différents organes.
L'éthylbenzène est un solvant ototoxique puissant. Il provoque chez le rat (gavage : 900 mg/kg/j, 5 j/sem, 2 semaines, ou inhalation : 200-400-600-800 ppm, 6 h/j, 6 j/sem, 13 semaines) une perte auditive irréversible (augmentation du seuil auditif dès la plus faible concentration), associée à des lésions histologiques de l'organe de Corti (disparition quasi complète des 3 rangées de cellules ciliées externes de la cochlée). La présence de xylène (mélange d'isomères) potentialise de 1,7 à 2,8 fois l'effet ototoxique [13, 14].
Système
Espèce
NOAEL
Hépatique
Rat
382 ppm (6 h/j, 5 j/sem, 4 sem)
99 ppm (mâles), 246 ppm (femelles) (5j/sem, 6 h/j, 13 sem)
Souris
382 ppm (6 h/j, 5 j/sem, 4 sem)
498 ppm (mâles), 740 ppm (femelles) (5j/sem, 6 h/j, 13 sem)
250 ppm (5 j/sem, 6 h/j, 104 sem)
Rénal
Rat
246 ppm (mâles), 498 ppm (femelles) (5j/sem, 6 h/j, 13 sem)
250 ppm (5 j/sem, 6 h/j, 104 sem)
Hématologique
Rat
382 ppm (6 h/j, 5 j/sem, 4 sem)
Tableau II. Doses sans effet toxique observé pour les différents systèmes cibles [9]
Effets génotoxiques [16, 17]
L’éthylbenzène n’est pas génotoxique dans la plupart des études in vitro et dans toutes les études effectuées in vivo.
In vitro, tous les essais sur bactéries donnent des résultats négatifs avec et sans activateurs métaboliques. L'éthylbenzène est mutagène pour les cellules de lymphome de souris à concentration cytotoxique uniquement. Il n'induit ni aberration chromosomique ou échange entre chromatides sœurs dans les cellules ovariennes du hamster chinois, ni aberration chromosomique dans les cellules hépatiques du rat, ni micronoyau dans les cellules embryonnaires du hamster syrien. En revanche, il provoque, à forte concentration, une augmentation marginale, mais significative, des échanges entre chromatides sœurs dans les lymphocytes humains.
In vivo, l'éthylbenzène n'occasionne pas la formation de micronoyau dans le sang périphérique de la souris (inhalation: ≤ 1000 ppm pendant 13 semaines; ip ≤ 645 mg/kg/j, 2 jours) ni la synthèse non programmée de l'ADN dans le foie de souris (inhalation : ≤ 4335 mg/m3, pendant 6 heures) [15]. Une exposition à 300 ppm (6 h/j, 5 j/sem, 18 semaines) d'un mélange de xylènes contenant 18,3 % d'éthylbenzène ne provoque pas d'augmentation du taux d'aberrations chromosomiques chez le rat [12].
Effets cancérogènes [16]
L’éthylbenzène est classé dans le groupe 2B (agents peut-être cancérogènes pour l’homme) par le CIRC. Par inhalation, il induit des tumeurs broncho-alvéolaires chez la souris et rénales chez le rat ; ces dernières sont peu probables chez l’homme.
La cancérogénicité de l'éthylbenzène a été testée par inhalation chez le rat et la souris (0-75-250-750 ppm, 6 h/j, 5 j/sem, pendant 104 ou 103 semaines respectivement) :
- chez le rat, à la plus forte concentration, l'éthylbenzène augmente la sévérité de la néphropathie, le taux d'adénomes (chez la femelle) et d'adénomes + carcinomes (chez le mâle) des tubules rénaux, ainsi que le taux d'adénomes des cellules interstitielles testiculaires chez le mâle ;
- chez la souris mâle, à 750 ppm, il augmente la métaplasie épithéliale alvéolaire, le taux d'adénomes et d'adénomes + carcinomes bronchiolo-alvéolaires ; chez la femelle, il n'a pas d'effet sur les poumons mais augmente le taux d'adénomes et d'adénomes + carcinomes hépatocellulaires. Il accroît l'hyperplasie des cellules folliculaires de la thyroïde dans les deux sexes, et de l'hypophyse chez les femelles.
Il a été conclu, après une étude histologique approfondie, que le développement des tumeurs rénales, chez le rat, est associé aux lésions provoquées par la néphropathie chronique progressive. Ce mécanisme ne serait pas considéré comme extrapolable à l'homme [18].
Administré par voie orale, l'éthylbenzène augmente, chez le rat (gavage : 500 et 800 mg/kg/j, 5 j/sem, 104 semaines), le taux de tumeurs malignes totales. Cependant, cette étude ancienne est peu précise [11, 15].
Effets sur la reproduction [9]
L’éthylbenzène n’est pas toxique pour la fertilité. Il est fœtotoxique à des concentrations toxiques pour les mères.
Fertilité
Une exposition du rat, de la souris ou du lapin à une forte concentration d'éthylbenzène n'a aucun effet sur la morphologie testiculaire ou le sperme chez le mâle (2400 ppm pendant 4 jours ou 782 ppm pendant 4 semaines) ou sur la durée du cycle ovarien chez la femelle (975 ppm pendant 90 jours).
Une étude sur deux générations a été réalisée chez des rats exposés par inhalation à 0, 25, 100 et 500 ppm, 6h/j, pendant les 70 jours qui ont précédé l'accouplement et la période de gestation. Pendant la lactation, l'éthylbenzène était administré par voie orale (0, 28, 90 et 342 mg/kg/j) dans de l'huile de maïs. Aucune anomalie n'a été détectée sur les paramètres de la reproduction, ni aucune anomalie comportementale dans une série de tests spécifiques [19].
Développement
L'administration d'éthylbenzène à des rates, par inhalation (100, 500, 1000, 2000 ppm, 6 h/j), du 6e au 20e jour de gestation, a provoqué une toxicité maternelle à partir de 1000 ppm (diminution du poids et de la consommation de nourriture). À ces concentrations, les auteurs notent également une réduction du poids des petits. Une augmentation du nombre d'animaux avec des variations squelettiques est observée seulement à 2000 ppm [20].
Des administrations combinées d'éthylbenzène et d'autres solvants (toluène, méthyléthylcétone) n'ont pas mis en évidence d'interaction pour les effets sur le développement [21, 22].
Chez les souris, l'exposition à 115 ppm d'éthylbenzène, au cours de la gestation, induit des anomalies du tractus urinaire chez le fœtus [9].
Aucune toxicité n'a été montrée chez le lapin (exposition : 0-100-1000 ppm, 7 h/j, du 1er au 24e jour de gestation) [9]. Dans une autre expérimentation, l'exposition continue de lapins à 1000 ppm, du 7e au 20e jour de gestation, induit une baisse de poids chez les mères, une augmentation des résorptions et des variations squelettiques (côtes surnuméraires) chez le fœtus [12].
Espèce
NOAEL fertilité
NOAEL maternelle et fœtale
Rat mâle
2 400 ppm, 4j
782 ppm, 4 sem
250 ppm, 104 sem
-
Rat femelle
975 ppm, 90 j
750 ppm, 104 sem
500 ppm, 6 h/j, du 6e au 20e jour de gestation
Souris mâle
2 400 ppm, 4j
782 ppm, 4 sem
750 ppm, 104 sem
-
Souris femelle
975 ppm, 90 j
750 ppm, 104 sem
< 115 ppm, 24 h/j, du 6e au 15e jour de gestation
Lapin mâle
2 400 ppm, 4j
1 610 ppm, 4 sem
-
Lapin femelle
-
100 ppm continu, du 7e au 20e jour de gestation
Tableau III. Doses sans effet toxique observé pour la reproduction [9, 10, 12, 17]Toxicité sur l’HommeL’éthylbenzène est essentiellement considéré comme un irritant cutané et muqueux, il peut entraîner une dépression du système nerveux central. Une atteinte hématologique et hépatique a plus rarement été également rapportée.
Toxicité aiguë [4, 6]
La voie d'exposition principale est la voie inhalatoire, les voies cutanée et orale sont secondaires. L'exposition de volontaires à des vapeurs d'éthylbenzène a causé une irritation transitoire des yeux qui est apparue pour une concentration de 200 ppm. Lorsque la concentration augmente, on observe un larmoiement et une irritation de la muqueuse nasale et du tractus respiratoire supérieur. Cet effet devient intolérable à partir de 5000 ppm.
Il peut s'y associer des signes de dépression du système nerveux central (fatigue, ébriété, marche titubante et incoordination motrice). En cas d'ingestion, de fréquentes fausses routes peuvent survenir, provoquant une atteinte bronchique parfois sévère.
L'application cutanée peut être à l'origine d'une rougeur et d'une phlyctène.
Toxicité chronique [4, 6]
L'inhalation répétée de concentrations supérieures à 100 ppm entraîne une asthénie, des céphalées et une irritation des yeux et des voies respiratoires. Des anomalies neurologiques fonctionnelles (syndrome psycho-organique) ont été mises en évidence chez des salariés exposés à des mélanges de solvants aromatiques dont l'éthylbenzène. Les contacts cutanés sont à l'origine d'une dermatose liée à une action sur la couche lipidique ; elle se traduit par une peau sèche et craquelée. Dans certaines études, des perturbations hématologiques (leucopénie, lymphopénie) ainsi que des désordres hépatiques sont mentionnés.
L'éthylbenzène n'est pas un sensibilisant cutané.
Effets génotoxiques
Dans une usine de production de styrène, dans laquelle les ouvriers étaient exposés à de très faibles doses d'éthylbenzène (< 1 ppm) ainsi que de styrène, benzène, toluène et xylènes, aucune anomalie n'a été notée sur les lymphocytes de 25 personnes : adduits, échanges de chromatides sœurs et micronoyaux [23]. Par contre, une étude récente met en évidence des anomalies chromosomiques chez 39 salariés exposés à un mélange de benzène et d'éthylbenzène. L'analyse des chromosomes par hybridation et fluorescence in situ indique une diminution de certaines anomalies et une augmentation relative du nombre d'insertions et d'aberrations sur le chromosome 4. Les résultats de cette étude sur un petit nombre de salariés devront être confirmés et ne permettent pas d'incriminer le seul éthylbenzène [24].
Effets cancérogènes [25-27]
Deux études déjà anciennes n'ont pas mis en évidence d'augmentation de cancers chez des sujets exposés à de l'éthylbenzène mais également à du benzène dans un cas, et à du benzène, toluène et styrène dans l'autre. Ces études sont jugées insuffisantes pour évaluer le risque cancérogène de l'éthylbenzène chez l'homme.
Effets sur la reproduction
Au cours d'une étude sur des travailleurs exposés à différents solvants organiques dont de l'éthylbenzène (220 à 234 mg/m3), une augmentation des anomalies du spermogramme a été rapportée par rapport à des sujets non exposés. La seule responsabilité de l'éthylbenzène n'est toutefois pas démontrée [28].
Cohérence des réponses biologiques chez l'Homme et l'animal